2.4. Кредитование коммерческих предприятий
Важной составляющей финансового потока наряду с
деньгами являются вспомогательные финансовые инструменты - векселя, опционы,
фьючерсы, варранты, свопы и др. Наиболее привлекательным инструментом при
расчетах в порядке зачета взаимных требований, а также при аккредитивной форме
расчетов является вексель. Он представляет собой ценную бумагу, безусловное
письменное долговое обязательство векселедателя уплатить при наступлении срока
обозначенную в векселе денежную сумму владельцу векселя (векселедержателю).
Различают казначейские, банковские и коммерческие
векселя. Казначейский вексель выпускается государством со сроками погашения
три, шесть и двенадцать месяцев. Банковский вексель выпускается банком или
объединением банков (эмиссионный синдикат). Владелец банковского векселя
получает доход, равный разнице между ценой погашения (номиналом) и ценой
продажи. Коммерческий (товарный) вексель может использоваться для отсрочки или
рассрочки платежа и является по существу формой коммерческого кредитования
покупателя продавцом.
Различают векселя по предъявлению и срочные.
Во-первых, срок платежа не указывается, платеж совершается в момент
предъявления векселя. В срочных векселях указывается либо точная дата платежа,
либо период от момента составления векселя, по истечении которого он должен
быть оплачен, либо период от момента предъявления векселя, в течение которого
он должен быть оплачен.
Различают простые и переводные векселя. Простой
вексель - это обязательство векселедателя произвести оплату определенной суммы
векселедержателю в назначенный срок и в определенном месте. Переводный вексель
(тратта) - это распоряжение одного лица (трассанта), адресованное другому лицу
(трассату), уплатить в назначенный срок определенную сумму третьему лицу
(ремитенту). Трассант при этом является одновременно кредитором по отношению к
трассату и должником по отношению к ремитенту. Выдача переводного векселя имеет
целью урегулирование обоих долговых требований. Переводный вексель может быть
передан одним держателем другому посредством специальной передаточной надписи -
индоссамента, выполненной индоссантом на оборотной стороне векселя или при
нехватке места для передаточных записей на дополнительном листе - аллонже.
Виды индоссамента: полный, бланковый и инкассовый.
Полный (именной) индоссамент указывает лицо, которому должен быть совершен
платеж. На бланковом индоссаменте (на предъявителя) имеется лишь подпись
индоссанта и не указывается лицо, которому переуступается вексель. Инкассовый
индоссамент дает право лицу, принимающему вексель, производить лишь взыскание
по векселю.
Наиболее ликвидными являются векселя, снабженные
гарантией крупных банков в виде специальной надписи на векселе - аваля. Лицо,
совершившее аваль, несет солидарную ответственность вместе с должником за
оплату векселя.
В коммерческой практике нередко используется
переводный вексель, в котором в роли ремитента выступает банк. Процедура
обращения трассанта в банк-ремитент с акцептованным векселем с целью получения
взамен него денежной суммы называется учетом векселя. Учет векселей в банках
(дисконтирование) способствует ускорению оборота средств. Трассант передает
банку вексель, получая от него вексельную сумму за вычетом учетного процента в
пользу банка, называемого дисконтом.
Таким образом, коммерческие кредиты широко
используются предприятиями, так как это не только необходимо, но и выгодно.
Однако внедрение в практику расчетов векселей не устраняет потребности поиска
реальных денежных ресурсов для коммерческих предприятий.
Другим видом кредита, принципиально отличного от
коммерческого, является банковский кредит.
Банковские кредиты классифицируются по срокам
возврата, назначению, уровню риска и др. Рассмотрим наиболее распространенные
виды кредитов, предоставляемых банками коммерческим предприятиям.
Контокоррентный кредит предусматривает закрытие
расчетного счета и открытие контокоррентного счета, сочетающего свойства
расчетного и ссудного счетов. Это производится в случаях, когда у предприятия
возникает потребность в укрупненных средствах, а между платежами и
поступлениями средств имеются разрывы. В контокоррентном счете дебетовое сальдо
означает выдачу кредита клиенту банка, кредитовое - наличие у него собственных
средств на счете. Несмотря на то что банки предоставляют кредиты по
контокорренту только платежеспособным и наиболее ответственным клиентам, этот
вид банковского кредита является одним из наиболее рискованных. В случае
малейшего ухудшения финансового положения заемщика банк вводит в режим
кредитования более жесткие условия: ограничивает сумму кредита, повышает плату
за кредит и др.
Ограниченным вариантом контокоррента является
овердрафт. Под овердрафтом понимается краткосрочный банковский кредит в целях
покрытия временного недостатка средств на счете клиента без установления
предельной суммы и заключения дополнительных кредитных договоров. Имеются
следующие виды овердрафта:
* краткосрочный - предоставляется предприятию по
разовому разрешению на один или несколько дней, по истечении которых на кредит
требуется новое разрешение учреждения банка;
* продленный - предоставляется на срок от нескольких
недель до нескольких месяцев на основании документально подтвержденной
доверенности с партнерами предприятия о переносе срока платежа по договору;
* сезонный - выдается в случае возникновения
значительного разрыва между платежами и поступлениями средств из-за
специфических условий производственного или сбытового процесса.
Овердрафт предоставляется только надежным клиентам.
По каждому из применяемых видов овердрафта банк устанавливает лимиты
кредитования в соответствии с ожидаемой расчетной потребностью заемщика. В
российской практике овердрафт оформляется на ссудном счете, в западной - на
расчетном счете.
Целевой кредит предоставляется под осуществление
конкретной сделки (приобретение какого-либо сырья, проведение
торгово-посреднической сделки, приобретение ценных бумаг и др.). Целевой кредит
от банка может быть выдан предприятию независимо от наличия у него расчетного
счета в учреждении банка. Для получения кредита заемщик предоставляет
технико-экономическое обоснование и гарантии погашения кредита.
Проектный кредит предоставляется банкам под
осуществление инвестиционных проектов на основе детального анализа
бизнес-планов инвестиционных проектов и под надежное обеспечение.
Ипотечный кредит предоставляется под залог
недвижимости.
Наиболее удобной формой кредитования для коммерческих
предприятий является кредитная линия. Она позволяет получать средства в
пределах определенного лимита и срока действия договора и не требует точного
определения будущих поступлений наличных средств и потребностей в кредитных
ресурсах. Рамочная кредитная линия открывается банком для оплаты поставок
продукции в пределах основного крупного договора. Револьверная кредитная линия
представляет собой цепочку продлеваемых в пределах определенного периода
краткосрочных кредитных операций.
Долгосрочные кредиты связаны преимущественно с
приобретением оборудования и осуществлением инвестиционных проектов. Для таких кредитов
характерны большие риски, сложные условия обслуживания и возврата долга. В
настоящее время в России они практически не применяются.
Одной из наиболее важных проблем кредитования
предприятий является определение процентной ставки. Ставка по кредиту должна
быть такой, чтобы заемщик и банк получали прибыль и компенсировали риски. Чем
выше уровень конкуренции на рынке банковских кредитов, тем ниже ставка
процента.
Для получения кредита на приемлемых условиях важное
значение имеет предоставление банку надежных гарантий обслуживания и возврата
долга. Наиболее распространенным способом возврата кредита является залог
имущества. Предметом залога под крупные кредиты служит недвижимость,
принадлежащая заемщику. При оформлении краткосрочных кредитов банки принимают
под залог готовую продукцию, полуфабрикаты, валютные счета и др. Различают
залог имущества и заклад имущества. При залоге заемщик остается собственником
имущества, если на него не будет обращено взыскание по кредиту за неуплату. При
закладе имущество передается в собственность банка, и при погашении кредита
заемщик выкупает его. Предметом заклада могут быть драгоценные металлы,
произведения искусства, автомобили и другие ценности. В качестве гарантий
возврата кредита могут выступать также поручительства третьих лиц. Должник и
гарант в случае неисполнения обязательств отвечают перед кредитором как
солидарные должники. Гарантами могут быть другие банки и крупные фирмы.
Ускорению взаимных платежей и оборачиваемости
денежных средств способствует факторинг. Он нередко имеет преимущества и перед
банковским, и перед коммерческим кредитом. В первом случае факторинг позволяет
быстрее привлекать банковские ссуды, во втором - обеспечивает оперативное
инкассирование долгов в ситуации, когда вексельная форма расчетов не
гарантирует своевременное погашение дебитором своих обязательств.
Факторинг представляет собой финансово-посредническую
операцию, состоящую в уступке поставщиком финансовому посреднику (фактор-банку
или специализированной фактор-компании) своих прав по требованию от покупателей
оплаты поставленной им продукции. В экономическом плане факторинг представляет
собой покупку долгов финансовым посредником с немедленной их оплатой
поставщику.
Факторинговые операции подразделяются на:
* внутренние, если поставщик, покупатель и
фактор-фирма находятся в одной стране;
* международные, если какая-либо из трех сторон
находится в другом государстве.
Кроме этого, факторинговые операции могут быть:
открытыми (если должник уведомлен об участии в факторинговой сделке) и закрытыми
(конфиденциальными).
Продажа дебиторской задолженности может
осуществляться поставщиком в двух формах: без регресса (права обратного выкупа)
и с регрессом (права обратного требования к поставщику вернуть уплаченную
сумму). При продаже без регресса финансовый посредник берет на себя риск
неплатежа, возникающий при отказе плательщика выполнить свои обязательства.
Различия между финансированием при факторинге и при кредитовании показаны в
табл. 2.1.
Факторинговое обслуживание может осуществляться следующим
образом (рис. 2.9):

1 - поставка товара на условиях отсрочки платежа;
2 - установка права требования долга по поставке
банку;
3 - выплата досрочного платежа (до 60-90% от суммы
поставленного товара) сразу после поставки;
4 - оплата за поставленный товар;
5 - выплата остатка средств (10-40% после оплаты
покупателем) за вычетом комиссии.
Рис.2.9.
Схема движения финансового потока при факторинговом обслуживании

Поставщик товаров и услуг имеет следующие
преимущества при факторинговом обслуживании.
1. Постоянная подпитка оборотными средствами банка
(до 60-90% от оборота).
2. Наращивание товарооборота с действующими клиентами
и привлечение новых за счет следующих конкурентных преимуществ:
* возможность увеличения лимитов отгрузок с отсрочкой
(в кредит);
* возможность изменения сроков платежа по
поставляемой продукции по своему усмотрению.
3. Покрытие торговых рисков:
* ликвидные риски (риски несвоевременной оплаты
поставок покупателями);
* кредитные риски (риски неоплаты поставок
покупателями);
* валютные риски;
* процентные риски (риски резкого изменения рыночной
стоимости денежных ресурсов).
Факторинговая комиссия, как правило, содержит
следующие основные составляющие:
а) фиксированный сбор за обработку документов;
б) фиксированный процент от оборота поставщика (в
зависимости от количества покупателей, оборота, частоты поставок, особенностей
товарного рынка находится в пределах от 0,5 до 5% от оборота);
в) стоимость кредитных ресурсов, необходимых для
финансирования поставщиков.
В России используются следующие виды факторинговых услуг
[2]:
* поставщикам по погашению дебиторской задолженности
покупателей;
* поставщикам по немедленной оплате отгруженной ими
продукции;
* форфейтинговые услуги, которыми пользуются в
основном экспортеры при реализации продукции на внешнем рынке.
Форфейтинг - это кредитование экспортера путем
покупки векселей или других долговых требований.
Форфейтинг - это форма трансформации коммерческого кредита в банковский.
Продавцом при форфейтинге обычно выступает экспортер,
выполнивший свои обязательства по контракту и стремящийся инкассировать
расчетные документы импортера с целью получить наличные средства. В качестве
покупателя (форфетора) обычно выступает банк или специализированная компания.
Покупатель (банк) обычно берет на себя коммерческие риски, связанные с
неплатежеспособностью, импортеров, без права регресса (оборота) этих документов
на экспортера.
Форфетор может хранить купленные документы у себя. В
этом случае затраченные им средства рассматриваются как капиталовложения. Но он
может продать их другой форфейтинговой фирме также на безоборотной основе. С
наступлением срока платежа конечный держатель документов предъявляет их в банк
для оплаты.
Форфейтинг предоставляет экспортеру следующие
преимущества:
* многократно ускоряет поступление средств за экспортируемый
товар, а следовательно, и оборот капитала;
* освобождает от риска неплатежа;
* упрощает баланс предприятия за счет частичного
освобождения от дебиторской задолженности.
Недостатком форфейтинга является относительное
повышение расходов экспортера по передаче рисков форфейтору.
Если факторинговые операции применяются для
финансирования поставок потребительских товаров со сроком кредитования от 90 до
100 дней и правом регресса к уступающему свои обязательства в случае неоплаты
своих счетов должниками, то форфейтинговые операции применяются при сроках
кредитования от шести месяцев до шести лет и форфетор несет по приобретенным
обязательствам все риски без оборота на уступающего их.
На практике при покупке задолженности экспортеров
бывает трудно определить платежеспособность импортера, находящегося в другой
стране. Поэтому чаще всего в таком случае факторские фирмы заключают договор с
фирмой аналогичного профиля в стране импортера, которой легче определить
финансовое состояние покупателя, застраховать на местном рынке возникающие
риски или инкассировать задолженность. Такие факторинговые операции получили
название двухфакторных операций.
Переуступаемая в факторинговых и форфейтинговых
операциях задолженность может быть оформлена векселями. При их учете возникает
проблема нахождения такого соотношения процентной ставки предоставляемого
поставщиком покупателю кредита, способов его погашения и выплаты процентов,
учетной ставки факторской фирмы, чтобы в результате всех этих операций продавец
товара мог получить o его первоначальную стоимость.
В рамках системы финансирования инвестиционной
деятельности коммерческих предприятий роль банков не ограничивается только
прямым кредитованием, предоставлением кредитных ресурсов от имени сторонних
инвесторов (заказчиков), участием в размещении централизованных инвестиционных
ресурсов и другими формами участия. Диверсифицируя свою деятельность, кредитные
организации широко используют другие виды банковских операций, внедряются в
хозяйственную деятельность своих клиентов, в том числе через такую форму
финансирования и кредитования обновления производства, как лизинг.
Лизинг является видом предпринимательской
деятельности, направленной на инвестирование временно свободных или
привлеченных (собственных или заемных) финансовых средств, когда по договору
финансовой аренды (лизинга) лизингодатель обязуется приобрести в собственность
у определенного продавца обусловленное договором имущество и предоставить его
лизингополучателю за оплату во временное пользование для предпринимательских
целей. Со стороны лизингодателя - это вид предпринимательской деятельности,
схожий с кредитованием (средства вкладываются на условиях возвратности,
платности, срочности, обеспеченности) и инвестированием (вложение средств в
основной капитал). Со стороны лизингополучателя - это аренда с достаточно
продолжительными сроками.
В качестве лизингодателя может выступать как юридическое лицо, осуществляющее
лизинговую деятельность, так и физическое лицо. Обычно в качестве лизингодателя
выступают либо банки, либо самостоятельные лизинговые фирмы, которые часто
создаются как дочерние компании банков, страховых фирм, а также
предприятий-товаропроизводителей, для которых лизинг является одной из форм
сбыта произведенной продукции.
Лизингополучателем может быть коммерческое
предприятие, нуждающееся в конкретном имуществе и испытывающее финансовые
проблемы, которые препятствуют его приобретению на собственные или заемные
средства. Таким образом, лизинг выступает своеобразной альтернативой покупке.
В качестве продавца лизингового имущества может
выступать предприятие-изготовитель ценностей, выступающих объектом лизинга, или
другое лицо (например, тортовая или снабженческая организация), продающее
соответствующее имущество.
Механизм реализации лизинговой сделки представлен на
рис. 2.10.
По срокам проведения сделки различают оперативный и
финансовый лизинг (с неполной и полной амортизацией).
По условиям обслуживания лизингового имущества
различают полный (мокрый) и чистый лизинг, а также лизинг с частичным набором
услуг. При полном лизинге обязанности по страхованию, обслуживанию, ремонту
имущества, а иногда и маркетингу готовой продукции берет на себя лизингодатель,
включающий соответствующие затраты в сумму лизинговых платежей. При чистом
лизинге все расходы по содержанию лизингового имущества, его страхованию,
техническому обслуживанию и ремонту берет на себя лизингополучатель, включающий
в этом случае соответствующие издержки в общий размер лизинговых платежей. При
лизинге с частичным набором услуг на лизингодателя возлагаются отдельные
функции, связанные с обслуживанием имущества.

1 - подписание лизингового договора;
2 - приобретение имущества;
3 - поставка имущества;
4 - кредитование банком операции приобретения
лизинговой компанией имущества (при необходимости);
5 - оплата имущества (поставки);
6 - выплата лизинговых платежей;
7 - возврат кредита.
Рис. 2.10.
Этапы лизинговой операции
В зависимости от состава участников операции лизинг
подразделяется на внутренний (когда все стороны представляют одну страну) и
международный (который разделяется на экспортный и импортный лизинг).
Кроме рассмотренных выше видов лизинга выделяют также
раздельный лизинг, характеризующийся крупномасштабностью сделок и участием в
них нескольких фирм и финансовых учреждений, когда в роли лизингодателя может
выступать специально организованный для финансирования дорогостоящего имущества
лизинговый консорциум. Противоположным этому виду лизинга является возвратный
лизинг, при котором предприятие продает лизинговой фирме часть своих
собственных основных фондов, одновременно заключая с ней договор на их аренду.
В результате этого предприятие, не прибегая к кредиту, получает дополнительные
денежные средства от реализации своего имущества, эксплуатация которого не
прекращается. После окончания срока договора возможен обратный выкуп
предприятием имущества.
В современных российских условиях финансирование
покупки лизингового имущества осуществляют специальные лизинговые компании,
создаваемые, как правило, крупными коммерческими банками. Для приобретения
имущества, предназначенного для сдачи в аренду, лизинговые компании используют
как собственные, так и заемные средства.
В соответствии с лизинговым договором
лизингополучатель обязан выплачивать лизингодателю в течение срока аренды
лизинговые платежи.
Сумма лизинговых платежей может быть рассчитана по
следующей формуле:
ЛП = АО + ПК + KB + ДУ + НДС,
где ЛП - общая сумма лизинговых платежей;
АО - величина амортизационных отчислений,
причитающихся лизингодателю в текущем году (за время действия лизингового
договора ему должна быть перечислена сумма, возмещающая полную стоимость
лизингового имущества);
ПК - сумма, выплачиваемая лизингодателю за кредитные
ресурсы, использованные им для покупки имущества по договору лизинга;
KB - комиссионное вознаграждение лизингодателя;
ДУ - плата лизингодателю за дополнительные услуги
(страховые платежи, если имущество было застраховано лизингодателем, затраты на
техническое обслуживание, рекламу, расходы на командировки и т. д.);
НДС - налог на добавленную стоимость, выплачиваемый
лизингополучателем по услугам лизингодателя.
Лизинговые платежи включаются в себестоимость
продукции (работ, услуг) лизингополучателя по элементу "Прочие
расходы".
Амортизационные отчисления рассчитываются по
следующей формуле:

где БС - балансовая стоимость лизингового имущества;
Н - норма амортизационных отчислений.
Плата за используемые лизингодателем кредитные
ресурсы может быть вычислена следующим образом:

где КР - кредитные ресурсы, используемые на
приобретение лизингового имущества; СП - процентная ставка за кредит.
Плата за кредитные ресурсы, используемые на
приобретение лизингового имущества (осуществляемого в текущем году),
составляет:

где Q - коэффициент, учитывающий долю заемных средств
в общей сумме приобретаемого имущества (Q - 1 при использовании только заемных
средств);
ОСн и ОСк - расчетная остаточная стоимость имущества
соответственно на начало и конец года.
Комиссионное вознаграждение может быть установлено
одним из двух способов:
1) в процентах от балансовой стоимости имущества:

где СТ - ставка комиссионного вознаграждения;
2) в процентах от среднегодовой остаточной стоимости
лизингового имущества:

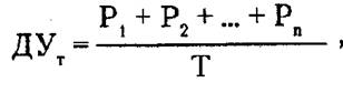
Плата за дополнительные услуги лизингодателя в
расчетном году могут быть определены следующим образом:

где Р1 Р2 ... Рn - расход лизингодателя на каждую предусмотренную
договором услугу;
Т - срок лизингового договора. Сумма налога на
добавленную стоимость определяется по формуле:

где Вт - выручка от сделки по лизинговому договору в
текущем году; СТн - ставка налога на добавленную стоимость.
Лизинговые платежи могут быть начислены как платежи с
фиксированной общей суммой, авансовые платежи, минимальные платежи.
При начислении платежей с фиксированной суммой общая
их величина выплачивается в течение всего срока действия лизингового договора.
Если были осуществлены авансовые платежи в момент подписания договора, то
оставшаяся сумма платежей начисляется и уплачивается в течение срока действия
договора так же, как и платежи с фиксированной общей суммой. Минимальные
платежи применяются, как правило, в том случае, когда предусматривается выкуп
имущества по заранее согласованной стоимости и эта стоимость долями
прибавляется к выплатам, определяемым исходя из фиксированной общей суммы
платежей.
При определении суммы лизинговых платежей может быть исполь-' зована также
формула аннуитетов (ежегодных платежей по займу):

где ЛП - единовременный лизинговый платеж;
БС - балансовая стоимость лизингового имущества;
СТк - годовая процентная ставка по договору лизинга
(ставка по банковскому кредиту); N - количество лизинговых платежей в год; TN -
количество гашений стоимости лизингового имущества за весь период лизинга.
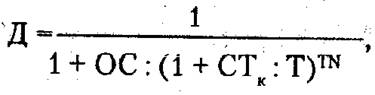
Для определения суммы платежа, скоректированного на
размер остаточной стоимости имущества, используется формула дисконтного
множителя:

где ОС - остаточная стоимость имущества (%).
Лизинг оживляет инвестиционную деятельность и
способствует росту производства, позволяет обеспечивать производство новой
современной техникой и поэтому весьма актуален в Российской Федерации. С
финансовой стороны лизинговые операции выгодны и лизингодателям, и
лизингополучателям. Для широкого развития лизинговых операций в Российской
Федерации необходимы стабилизация денежно-кредитной и финансовой системы,
преодоление инфляции и укрепление рубля как национальной валюты.
При недостатке средств кроме лизинга может
использоваться также селенг. Селенг представляет собой специфическую форму
обязательства, состоящую в передаче собственником прав на пользование и
распоряжение его имуществом на срок за определенную плату. В качестве такого
имущества могут выступать как внеоборотные активы (здания, сооружения,
оборудование), так и оборотные активы (денежные средства, ценные бумаги и др.).
При этом собственник остается владельцем переданного внаем имущества и может по
первому требованию возвратить его. Селенг-компания привлекает и свободно
использует по своему усмотрению имущество и отдельные имущественные права
юридических лиц и граждан. По форме финансирования инвестиционный селенг близок
к банковской деятельности. С помощью селенга оказывается финансовая помощь
компаниям, испытывающим острый дефицит в различных видах ресурсов, включая и
денежные средства.