Глава 5. Методы финансирования инвестиционной
деятельности коммерческих предприятий
5.1. Финансовое обеспечение инвестиций в основные
средства (фонды) предприятий
Система финансового обеспечения инвестиционного
процесса складывается из источников и методов финансирования инвестиционной
деятельности.
По действующему законодательству инвестиционная деятельность
на территории Российской Федерации может финансироваться за счет:
* собственных финансовых ресурсов и
внутрихозяйственных резервов инвестора (прибыли, амортизационных отчислений,
денежных накоплений и сбережений граждан и юридических лиц, средств,
выплачиваемых органами страхования в виде возмещения потерь от аварий,
стихийных бедствий и других средств);
* заемных финансовых средств инвестора или переданных
им средств (банковские и бюджетные кредиты, облигационные займы и другие
средства);
* привлеченных финансовых средств инвестора (средств,
получаемых от продажи акций, паевых и иных взносов членов трудовых коллективов,
граждан и юридических лиц);
* финансовых средств, централизуемых объединениями
(союзами) предприятий в установленном порядке;
* средств федерального бюджета, предоставляемых на
безвозвратной и возвратной основе, средств бюджетов субъектов Российской
Федерации;
* средств внебюджетных фондов;
* средств иностранных инвесторов.
При всем многообразии источников финансирования
основными методами инвестирования являются самофинансирование, кредитный,
бюджетный, а также комбинированный методы.
Самофинансирование инвестиций в странах с развитой
рыночной экономикой осуществляется за счет собственных средств корпораций в
виде нераспределенной прибыли и амортизации, которые дополняются определенной
долей эмиссии ценных бумаг и кредита, полученного с рынка ссудного капитала.
В Российской Федерации в настоящее время еще не
сформировался полнокровный рынок ценных бумаг. Самыми надежными являются собственные
источники финансирования инвестиций. Метод самофинансирования является
приоритетным для коммерческих предприятий. Самофинансирование обеспечивается за
счет собственного капитала предприятия - уставного фонда, а также потока
средств, формируемого в процессе деятельности предприятия.
Важнейшими собственными источниками финансирования
инвестиций в любом коммерческом предприятии, формирующими поток
самофинансирования, являются чистая прибыль и амортизационные отчисления.
Прибыль - главная форма чистого дохода предприятия.
Она является обобщающим показателем результатов коммерческой деятельности
предприятий и находит отражение в отчете о прибылях и убытках. После уплаты
налогов и других платежей из прибыли в бюджет у предприятий остается чистая
прибыль. Часть ее предприятие вправе направить на капитальные вложения
производственного и социального характера, а также природоохранные мероприятия.
Эта часть прибыли может использоваться на инвестиции в составе фонда накопления
или другого фонда аналогичного назначения, создаваемого на предприятиях.
Порядок формирования и использования средств этих фондов регулируется
учредительными и другими внутренними документами предприятия. Нераспределенная
часть прибыли также может быть направлена для капитализации, так как по своему
экономическому содержанию она является одной из форм резерва собственных
средств предприятия, используемых для развития.
Вторым крупным источником финансирования инвестиций в
основные средства (фонды) предприятий являются амортизационные отчисления.
Амортизация - это процесс переноса стоимости основных фондов на выпускаемую
продукцию в течение нормативного срока службы.
К основным средствам относятся здания, сооружения,
рабочие и силовые машины и оборудование, измерительные и регулирующие приборы и
устройства, вычислительная техника, транспортные средства, производственный и
хозяйственный инвентарь сроком службы более одного года и стоимостью более 100
минимальных размеров месячной оплаты труда (МРОТ). Основные средства в процессе
производства постепенно морально и физически изнашиваются. Стоимость основных
средств погашается посредством начисления амортизации. Норма амортизации
определяется в процентах от балансовой стоимости и зависит от вида основных
средств и условий их эксплуатации. Сумма амортизационных отчислений должна быть
достаточной для сооружения или приобретения новых объектов взамен выбывающих из
эксплуатации.
Амортизация не начисляется по объектам основных
средств, полученным по договору дарения и безвозмездно в процессе приватизации;
жилищному фонду; объектам внешнего благоустройства; объектам лесного и
дорожного хозяйств; специализированным сооружениям и подобным объектам;
продуктивному скоту, буйволам, волам и оленям; многолетним насаждениям, не
достигшим эксплутационного возраста, а также по приобретенным изданиям.
Не подлежат амортизации объекты основных средств,
потребительские свойства которых с течением времени не изменяются (земельные
участки и объекты природопользования).
Стоимостной износ не начисляется по полностью амортизированным
объектам, даже если они продолжают нормально функционировать (за исключением
зданий и сооружений). В большинстве случаев нормы амортизации были определены
по группам основных средств, состоящих из множества инвентарных объектов. В
целях создания финансовых условий для быстрейшего внедрения в производство
научно-технических достижений и повышения заинтересованности предприятий в
ускоренном обновлении активной части основных фондов (рабочие машины,
оборудование и транспорт) в России разрешено применять метод ускоренной
амортизации машин и оборудования. Ускоренная амортизация является целевым
методом более быстрого и полного перенесения их балансовой стоимости на
издержки производства и обращения. Действительно, при введении ускоренной
амортизации растут издержки производства, снижается прибыль, но увеличивается
денежный поток. Если снижение чистой прибыли допустимо, то есть не приводит к
образованию задолженности перед бюджетом и т. п., то ускоренная амортизация
выгодна. Не случайно в странах с развитой рыночной экономикой ускоренную
амортизацию рассматривают как налоговую защиту. Предприятие получает
возможность увеличить темпы обновления оборудования и за счет этого повысить
конкурентоспособность.
Предприятия вправе применять метод ускоренной амортизации
в отношении основных средств, используемых для увеличения выпуска
вычислительной техники, новых прогрессивных видов материалов и оборудования,
расширения экспорта продукции, а также в случаях, когда осуществляется массовая
замена изношенной и морально устаревшей техники на новую, более
производительную.
При введении ускоренной амортизации предприятия
используют равномерный (линейный) метод ее начисления. При этом утвержденная
норма годовых амортизационных отчислений повышается, но не более чем в два раза.
Решение о применении механизма ускоренной амортизации (после согласования с
соответствующими финансовыми органами) в месячный срок доводится до
соответствующих налоговых органов.
С целью развития малого предпринимательства в России
разрешено в первый год работы малых предприятий наряду с применением ускоренной
амортизации списывать дополнительно как амортизационные отчисления до 50%
первоначальной стоимости основных фондов сроком службы более трех лет. При
прекращении деятельности малого предприятия до истечения одного года сумма
дополнительно начисленного износа подлежит восстановлению за счет увеличения
балансовой прибыли. Для малых предприятий нет ограничений на целевое
использование дополнительных амортизационных отчислений
Амортизационные отчисления, осуществленные ускоренным
методом, используются по целевому назначению. В случае их нецелевого
использования дополнительная сумма амортизации, соответствующая расчету по
ускоренному методу, включается в налогооблагаемую базу и подлежит
налогообложению в соответствии с действующим законодательством.
Наряду с ускоренной амортизацией коммерческим
предприятиям всех форм собственности разрешено применять понижающие
коэффициенты к амортизационным отчислениям (до 0,5). Это создает краткосрочные
предпосылки для снижения издержек и роста прибыли. В долгосрочной перспективе
снижение амортизационных отчислений приводит к росту морального износа основных
фондов.
В условиях российской инфляции возможность обновления
оборудования за счет увеличения амортизационных отчислений долгое время
отсутствовала. Накопленная сумма амортизационных отчислений постоянно отставала
от роста цен на оборудование.
В 1997 году в Российской Федерации введена новая
система амортизации основных фондов. Все имущество, подлежащее амортизации (стоимостью
более 100 минимальных размеров месячной оплаты труда), было разделено на четыре
группы. По каждой группе были установлены нормы амортизации по предприятиям и
отдельно - для малых предприятий.
Первая группа - здания, сооружения и их структурные
компоненты. Расчет амортизационных отчислений ведется для каждой группы
имущества в отдельности. Норма амортизации здания составляет 5%, для малых
предприятий - 6%.
Вторая группа - легковой и легкий грузовой
автотранспорт, конторское оборудование и мебель, компьютерная техника,
информационные системы. Нормы амортизации составляют соответственно 25% и 30%.
Расчет амортизационных отчислений производится путем умножения суммы балансовой
стоимости имущества на норму амортизации.
Третья группа - технологическое, энергетическое,
транспортное и иное оборудование и материальные активы, не включенные в первую
и вторую группы. Нормы амортизации - 15%, для малых предприятий - 18%.
Четвертую группу образуют нематериальные активы. Амортизация
нематериальных активов осуществляется равными долями в течение всего срока
эксплуатации. Если срок использования нематериального актива установить
невозможно, то период его амортизации устанавливается в 10 лет.
При реализации имущества 2-4-й группы суммарная
стоимость имущества соответствующей группы уменьшается на сумму чистой выручки
равными долями в течение двух лет.
Основные фонды учитываются в финансовой документации
(в балансе) по первоначальной или восстановительной стоимости за вычетом износа.
Первоначальная стоимость основных фондов представляет
собой сумму фактических затрат на строительство, покупку, транспортировку,
монтаж и наладку основных фондов в действующих ценах. В связи с инфляцией цены
на элементы основных фондов непрерывно растут. Первоначальная стоимость
отклоняется от рыночной и под влиянием износа. Для создания благоприятных
экономических условий и стимулирования активного обновления основных фондов
государство использует механизм их переоценки. Проведенные в России переоценки
означали изменения стоимости активов за счет накопленного за прошлый период
инфляционного потенциала.
Переоценка основных фондов оказывает существенное
влияние на итоги производственно-финансовой деятельности предприятий, так как
приводит к изменению амортизационных отчислений и налоговых платежей.
Для определения величины амортизационных отчислений
можно пользоваться методами прямого и аналитического расчетов.
При использовании прямого метода расчета величина
амортизационных отчислений устанавливается по формуле:

где А - сумма амортизационных отчислений;
Ф - балансовая стоимость 1-го объекта основных
фондов, тыс. руб.
Н1 - годовая норма амортизации по объекту 1-го вида,
в %;
n - к шичество объектов основных фондов, по которым
начисляется амортизация (i = 1, 2,3,.....n).
При использовании в финансовом планировании
аналитического метода расчет! при определении величины амортизационных
отчислений первоначально вычисляется средняя стоимость амортизируемых основных
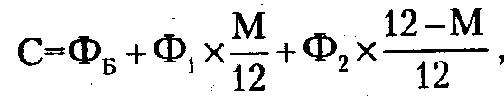
фондов на планируемый год (с) по следующей формуле:

где Фб балансовая стоимость основных фондов предприятия
на начало расчетного периода;
Ф1 - стоимость вводимых в эксплуатацию основных
фондов в планируемом периоде;
Ф2 - стоимость выбывающих из эксплуатации основных
фондов в планируемом периоде;
М - число полных месяцев функционирования основных
фондов в планируемом периоде;
(12-М) - число месяцев, остающихся до конца года
после выбытия основных фондов.
Величина амортизационных отчислений, рассчитанная по
аналитическому методу, определяется по формуле:

где Наф - средняя, фактическая норма амортизации,
которая сложилась по отчету предприятия за прошлый год.
Аналитический метод расчета величины амортизационных отчислений
более прост в использовании, чем метод прямого расчета, однако дает менее
точный результат, так как этот расчет ведется не по каждому инвентарному
объекту, а по всем основным средствам предприятия.
Рассмотренный метод самофинансирования (самоинвестирования)
предприятий является наиболее перспективным. Дальнейшее наращивание
инвестиционного капитала предприятий возможно за счет внешних источников
финансирования. Для определения доли собственных средств в общем объеме
инвестиций используется коэффициент самофинансирования, который определяется по
формуле:

где СС- собственные средства предприятия (чистая
прибыль и амортизационные отчисления); И - общая сумма инвестиций.
Рекомендуемое значение коэффициента
самофинансирования должно быть не ниже 51%. Если оно ниже, предприятие
утрачивает финансовую независимость по отношению к внешним источникам
финансирования (заемным и привлеченным средствам). Самоокупаемость дает
возможность предприятию уплачивать налоги и финансировать за счет прибыли
простое воспроизводство. Самофинансирование же (за счет чистой прибыли и
амортизационных отчислений) позволяет предприятию обеспечить возмещение затрат
по расширенному воспроизводству и реализации социальных программ.
Одной из форм воспроизводства основных средств
(фондов) является их ремонт. Ремонт зданий, сооружений, оборудования и других
основных средств делится на капитальный и текущий.
Капитальный ремонт выполняется для восстановления
исправности инвентарного объекта с заменой или восстановлением любых его
частей. Текущий ремонт производится для обеспечения или восстановления
работоспособности объекта и состоит в замене отдельных его частей.
Предприятие самостоятельно разрабатывает план
капитального ремонта основных средств и график проведения ремонтных работ по
отдельным объектам. Базой для составления такого плана является
сметно-техническая документация, в которой учитываются действующие нормы, цены
и тарифы.
В настоящее время предприятия включают расходы на все
виды ремонта в себестоимость продукции по элементу "Прочие расходы".
Предприятие вправе самостоятельно выбирать способ отнесения затрат на ремонт на
издержки производства и обращения:
* включать в себестоимость фактические затраты на
проведение ремонта непосредственно после его осуществления;
* создавать за счет себестоимости ремонтный фонд;
* относить в случае необходимости фактические затраты
на проведение ремонта на расходы будущих периодов с последующим их ежемесячным
списанием на себестоимость продукции.
Ремонт основных фондов непосредственного назначения
возмещается за счет чистой прибыли, остающейся в распоряжении предприятия.