М1. ЭЛЕМЕНТЫ АНАЛИТИЧЕСКОЙ ГЕОМЕТРИИ
Индивидуальные задания к модулю №1:
Задание 1. Даны вершины треугольника А(-1; -3), В(-2; 4), С(3; 2).
Сделать чертеж и найти:
1) периметр треугольника;
2) уравнение биссктрисы, проведенной через вершину С;
3) уравнение прямой ЕА, проходящей через точку А и параллельной прямой СВ;
4) уравнение медианы СМ, проведенной через вершину С;
5) угол, который медиана ВМ1, проведенная через вершину В, образует со стороной ВС;
6) координаты точки К - пересечения высот треугольника;
7) площадь треугольника АВС;
8) систему линейных неравенств, определяющих треугольник АВС.
Задание 2. Построить кривые второго порядка, если: 4x2 + 3y2 + 8x –12y +4 = 0.
Определить каноническое уравнение кривой.
М2. ДИФФЕРЕНЦИАЛЬНОЕ ИСЧИСЛЕНИЕ
Индивидуальные задания к модулю №2
Задание 3. Найти пределы функций не используя правило Лопиталя:
Задание 4. Найти производные заданных функций:
|
у = (5x2
- 3x)3
–
|
у
= arcsin |
Задание 5. Найти пределы функций, используя правило Лопиталя:
Задание 6. Вычислить приближенное значение
Задание 7. Исследовать средствами дифференциального исчисления функцию y = f(x) и построить ее график.
.
Задание 8. Найти экстремум функции двух переменных z = f(x,y):
z = x2y3(5 - x - y).
Задание 9. Выполнить лабораторную работу №1.
Цель работы: Нахождение параметров приближенной зависимости между величинами методом наименьших квадратов.
Xi
1,2
1,8
2,4
3
3
4,2
5
5,4
6
6,6
Yi
2
3,5
6,3
11
17
25
30
40
56
68
Индивидуальные задания к модулю №3
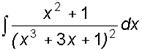
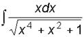
Задание 10. Найти неопределенные интегралы. Результаты проверить дифференцированием.
a)
b). Проинтегрировать по частям:
Задание 11. Вычислить по формуле Ньютона-Лейбница определенный интеграл:
,
.
Задание 12. Найти площадь фигуры, ограниченной кривой y = ax2 + px + q и прямой y = kx + b:
|
y = x2 - 3 |
y = x - 1 |
Задание 13. Выполнить лабораторную работу №2.
Цель работы: Освоение методов численного интегрирования.
З а д а н и е:
1. Вычислить
приближенно,
используя методы 2,3,4 по обобщенным
формулам (5), (7), (9) с абсолютной точностью çR(f)ç £ 0,01.
2. Полученные результаты сравнить и сделать выводы.
Используйте ЭВМ (например, Excel).
3. Постройте графики подынтегральных функций y = f(x).
М4. Дифференциальные уравнения
Индивидуальные задания к модулю №4
Задание 14. Найти общее решение дифференциального уравнения a(x)y' + b(x)y = f(x) и частное решение, удовлетворяющее начальному условию y = y0 при x = x0.
|
|
|
Задание 15. Найти общее решение дифференциального уравнения ay" + by' + qy = f(x) и частное решение, удовлетворяющее начальному условию y = y0, y' = y'0 при x = x0.
|
1. |
2.
|
3. ![]()
М5. Ряды и понятие о сходимости рядов
Индивидуальные задания к модулю №5
Задание 16. Выполнить лабораторную работу №3.
Цель работы: Исследование рядов на сходимость. Вычисления суммы ряда.
a). Исследовать на сходимость ряды:
|
|
|
Предположим, что в стране с населением 100 миллионов человек ожидается его рост на 2% в год. Через сколько лет население удвоится?
b). Найти область сходимости степенного ряда и исследовать сходимость на концах интервала:
![]()
Задание 17.
a). Разложить по степеням x в ряд y = f(x). Указать интервал сходимости.

b). Разложить в ряд Маклорена или Тейлора функцию y = f(x) в окрестности х0:
х0
= -8.
М6. Линейная алгебра
Индивидуальные задания к модулю №6
Задание 18. Выполнить лабораторную работу №4.
Цель работы: Использование теории матриц и определителей для решения задач линейной алгебры.
З а д а н и е. 1. Решить систему линейных уравнений методом Крамера:

2. Проверить, что векторы
![]()
образуют базис в R3, найти координаты вектора b в этом базисе. (Систему
решать матричным методом или методом Гаусса).
М7. Элементы векторной алгебры
Индивидуальные задания к модулю №7
Задание
19.
Даны точки A, B, C, D. Положим а =
, b =
.
|
A(1,-6,0) |
B(1,0,-1) |
C(7,2,-3) |
D(-1,1,4) |
Найти:
1) векторы 2а+b и а-2b;
2) модули векторов |2а+b| и |а-2b|;
3) скалярное произведение (2а+b)×(a-2b);
4) векторное произведение [(2а+b),(a-2b)];
5) угол между векторами (2а+b)×и (a-2b).
М8. ГЕОМЕТРИЧЕСКИЕ пространства
Индивидуальные задания к модулю №8
Задание 20. Даны четыре точки A, B, C и D:
|
A(-1,0,-1) |
B(1,1,-1) |
C(1,2,-3) |
D(0,-2,-4) |
1). Составить уравнение плоскости, проходящей
через точку A и имеющей нормальный вектор
;
- через точки A, B, C.
2). Вычислить расстояние от точки D до плоскости, проходящей через точки A, B, C.
3). Составить канонические и параметрические уравнения прямых, проходящих через точки A и C, а также B и D.
4). Будут ли эти прямые перпендикулярны? Параллельны?