Тема:
Непосредственное интегрирование
Для успешного
усвоения темы необходимо знать таблицу основных интегралов:
Таблица основных интегралов
Степенные
функции.
1. .files/image104.jpg)
2.
.
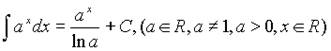
Показательные
функции.
3. .files/image191.jpg)
4. ![]()
Тригонометрические
функции.
5. ![]()
6. ![]()
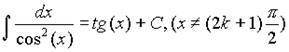
7. .files/image192.jpg)
8. .files/image193.jpg)
Дробно-рациональные
функции.
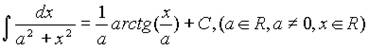
9. .files/image194.jpg)
10. .files/image015.gif)
11. .files/image016.gif)
12. .files/image195.jpg)
Иррациональные
функции.
13. .files/image196.jpg)
14. .files/image197.jpg)
15. .files/image198.gif)
Занятие №1.
Примеры старайтесь решать самостоятельно!
Пример
1. Найти неопределенный интеграл
.
Решение.
Применяем формулу (1) , где
.
Получаем: .files/image027.gif)
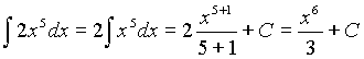
Пример
2. Найти интеграл
.
Решение.
Подынтегральная функция - это дробь
.
Запишем ее в виде степенной функции, а именно,
.
Затем используем формулу (1), при
.
Получаем:
.
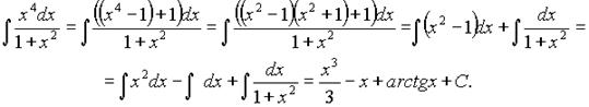
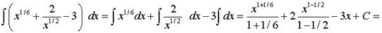
Пример
3. Найти интеграл
.
Решение.
В подынтегральной функции разделим почленно
числитель на знаменатель. Затем воспользуемся неопределенного интеграла, а
также формулой (1), преобразовав предварительно , если нужно подынтегральную
функцию к виду
.
Получаем:
.files/image035.gif)
=
![]()
Замечание.
При вычислении интеграла от суммы функций сумму произвольных постоянных,
которая при этом получается, заменяют одной произвольной постоянной и
обозначают ее буквой С
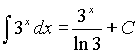
Пример 4.
Найти интеграл ![]()
Решение.
Используя формулу (3), где a=3, получим:
.files/image043.gif)
Пример 5. Найти интеграл .files/image044.gif)
Решение.
Этот
интеграл не является табличным. Преобразуем подынтегральную функцию, используя
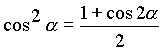
формулу тригонометрии
,
затем используем формулу (6) .
Получим:
.
Пример 6. Найти
интеграл
.
Решение.
По
формуле (9), где
получаем:
.
Пример 7.
Найти интеграл
.
Решение.
По формуле (13) , где
получаем:
.
Пример 8.
Найти интеграл
.
Решение.
По
формуле (12), где
получаем:
.
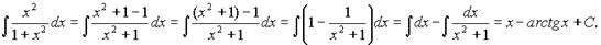
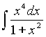
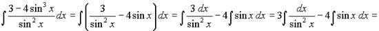
Пример 9.
Найти интеграл
.
Решение.
Этот интеграл не является табличным.
Преобразуем подынтегральную функцию, используя формулы тригонометрии
Получим:
.files/image206.gif)
.
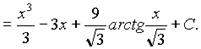
Пример 10.
Найти интеграл
.
Решение.
Этот интеграл не является табличным.
Преобразуем числитель следующим образом:
,
затем разделим числитель на знаменатель почленно. Получим:
![]()
Замечание.
Прибавление и вычитание в числителе подынтегральной функции некоторой константы
- это преобразование, часто применяемое при нахождении интегралов. Например:
.files/image208.gif)
.files/image209.gif)
![]()
Задачи для самостоятельного решения (с проверкой решения)
Задача 1. Найти
интеграл
.
Задача 2. Найти
интеграл
.
Задача 3. Найти
интеграл
.
Задача 4. Найти
интеграл
.
Задача 5. Найти
интеграл
.
Задача 6. Найти
интеграл
.
Задача 7. Найти
интеграл
.
Задача 8. Найти
интеграл
.
Задача 9. Найти
интеграл
.
Занятие №2.
Продолжение темы. Интегрирование с помощью
подведения функции под знак дифференциала.
Напомним
некоторые теоретические положения:
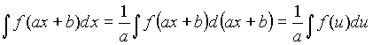
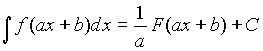
А). Пусть требуется найти
интеграл
(1)
Так как
(2)
где
-
функция, дифференцируемая на некотором интервале
, то
(3)
где
. Если
интеграл
табличный,
то в силу свойства 4 известен и интеграл
, то
есть, если,
, то
. (4)
Таким
образом, интеграл (1) находим, используя преобразование (2), которое называют подведением
функции под знак дифференциала.
Заметим,
что внести функцию под знак дифференциала означает написать под знаком
дифференциала ее первообразную. Например:
.files/image119.gif)
В). Пусть требуется найти
интеграл
, где
.
Очевидно, что
, где
,тогда
.files/image123.gif)
где
.
Далее
рассуждаем так же, как в случае преобразования (3.)
(здесь
.).
Таким образом, если
, то
(4)
Преобразование
(4) называют подведением линейной функции под знак дифференциала.
Рассмотрим
примеры
Пример 1. Найти интеграл
.
Решение.
Используем
преобразование (3). Внесем функцию
под
знак дифференциала, затем воспользуемся формулой (4) и
свойством 4, где
.
Получим:
.
Пример 2. Найти интеграл
.
Решение.
Используем
преобразование (3). Внесем функцию
под
знак дифференциала, затем воспользуемся формулой (1), где .files/image134.gif)
Получим:
.
Пример 3. Найти интеграл
.
Решение.
Используемся
преобразованием (3). Внесем функцию
под
знак дифференциала (
), затем воспользуемся формулой (3).
Получим:
![]()
![]()
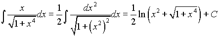
Пример 4. Найти интеграл
.
Решение.
Используем
преобразование (3). На первом шаге под знак дифференциала подведем функцию x2:
,
затем используем формулу (15)
Тогда
.
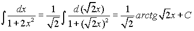
Пример 5. Найти
интеграл
.
Решение.
Используем
преобразование (4).Внесем линейную функцию
под
знак дифференциала:
Далее
воспользуемся формулой (5):
.files/image149.gif)
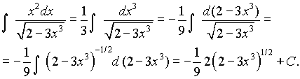
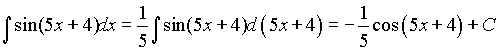
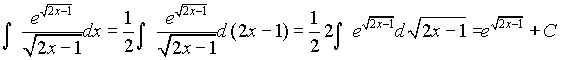
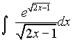
Пример 6. Найти
интеграл
.
Решение.
.
Пример 7. Найти
интеграл
.
Решение.
.
Пример 8. Найти
интеграл
.
Решение.
.
Задачи для самостоятельного решения
Старайтесь
решить сами!
Задача
1. Найти интеграл ![]()
На
первом шаге использовано преобразование дифференциала:
.
На
втором шаге использована формула (6).
Задача
2. Найти интеграл .files/image159.gif)
Задача
3. Найти интеграл .files/image161.gif)
Задача
4. Найти интеграл
.
Задача
5. Найти интеграл ![]()
Задача
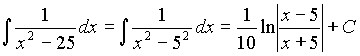
6. Найти интеграл .files/image168.gif)
Задача
7. Найти интеграл ![]()
Задача
8. Найти интеграл .files/image214.gif)
Задача
9. Найти интеграл
.
Задача
10. Найти интеграл
.
Задача
11. Найти интеграл
.
Задача
12. Найти интеграл .files/image183.gif)
Задача
13. Найти интеграл ![]()
Решения.
.
.files/image217.gif)
.files/image218.gif)
![]()
.files/image220.gif)
.files/image221.gif)
![]()
.files/image224.jpg)
.
.
.
.files/image225.gif)
.files/image167.gif)
.
.
.files/image214.gif)
.files/image226.gif)
.
.files/image180.gif)
.files/image182.gif)
![]()
.files/image227.gif)
.