§ 14. Законы распределения непрерывных случайных величин

            Рассмотрим некоторые наиболее важные законы распределения случайных величин.

  1. Равномерное распределение

  2. Экспоненциальное (показательное) распределение

  3. Нормальное распределение

1. Равномерное распределение

            Непрерывная случайная величина x имеет равномерное распределение на отрезке [a,b], если на этом отрезке плотность распределения случайной величины постоянна, а вне его равна нулю, т.е.

где С = Const. Используя условие нормировки 2 из § 9, определим С.

,

откуда с = 1/(b-a) и, следовательно, плотность равномерного распределения имеет вид:

                                                             (14.1)

            Теперь определим вид интегральной функции распределения для этого закона, который в силу (9.1) будет следующим:

         (14.2)

 

Изобразим графики f(x) и F(x):

Рис. 14.1

            Определим числовые характеристики данной случайной величины:

                                                                         (14.3)

                                                   (14.4)

                                                                                      (14.5)

            Наконец, найдем вероятность попадания значений равномерно распределенной случайной величины на интервале (a,b) в интервал (a , b ):

                                                            (14.6)

            Непрерывная случайная величина подчинена равномерному закону распределения, если ее возможные значения лежат в пределах некоторого определенного интервала, кроме того, в пределах этого интервала все значения случайной величины одинаково вероятны (обладают одной и той же плотностью вероятности). С такими случайными величинами часто встречаются в измерительной практике при округлении от счетов измерительных приборов до целых делений шкал. Ошибка при округлении отсчета до ближайшего целого деления является случайной величиной x , которая с постоянной плотностью вероятности принимает любое значение между соседними целыми делениями.

В начало страницы

3. Нормальное распределение

            Исключительно важную роль в теории вероятностей играет нормальное распределение (закон Гаусса).

            Непрерывная случайная величина x имеет нормальное распределение вероятностей с параметрами а, s > 0, если плотность распределения ее имеет вид:

                                                              (14.12)

Нормальный закон распределения широко применяется в практических задачах, он проявляется во всех случаях, когда случайная величина является результатом действия большого числа различных факторов. Каждый фактор в отдельности на величину x влияет незначительно.

            Функция распределения такой случайной величины имеет вид:

                                                        (14.13)

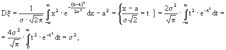
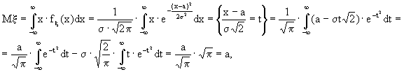
            Для определения числовых характеристик воспользуемся интегралом Пуассона:

                         (14.14)

Имеем:

            то есть Mx = a. (14.15)

            Далее,

итак:

Dx = s 2 . (14.16)

            Таким образом, параметры а, s 2 в выражении (14.12) есть математическое ожидание и дисперсия нормально распределенной случайной величины, а                 

                         (14.17)

            График плотности вероятности имеет вид нормальной кривой (Гаусса):

        

Рис. 14.3

Отметим некоторые свойства нормальной кривой.

            1. Кривая распределения симметрична относительно прямой х = а.

            2.

            3.

            4. При изменении математического ожидания и при s = Const,           происходит смещение кривой вдоль оси Ох. Если положить а = Const и            изменять s , то кривая изменяет свой вид в зависимости от s .

Рис. 14.4

Замечание. Пусть x - нормальная случайная величина с параметрами (0,1), Тогда ее плотность имеет вид:

,

а функция распределения

                                    (14.18)

есть функция Лапласа (см. (13.4\)).

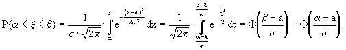
            С помощью Ф(х) можно вычислять вероятность того, что нормальная случайная величина с параметрами (а,s 2) примет значение из интервала (a ,b ).

Именно,

(14.20)

            Отметим важный частный случай последней формулы:

                     (14.21)

Если взять , то получим, независимо от а,

                                    (14.22)

            Формула (14.22) носит название правила трех сигм.

В начало страницы

2. Экспоненциальное (показательное) распределение данные

            В практических приложениях теории вероятностей, особенно в теории массового обслуживания, исследовании операций, в физике, биологии, теории надежности, часто имеют дело со случайными величинами, которые имеют экспоненциальное распределение.

            Случайная величина x распределена по показательному закону с параметром l >0, если она непрерывна и имеет следующую плотность распределения вероятностей:

                                                          (14.7)

Тогда

(x > 0).

Таким образом,

                                                                  (14.6)

соответственно, графики f(x) и F(x) имеют вид:

Рис. 14.2

Определим числовые характеристики:

                               (14.9)

               (14.10)

                                                                      (14.11)

В начало страницы

В оглавление