§
12. Последовательность независимых испытаний и биномиальный закон распределенияНазовем испытанием
любое осуществление случайного эксперимента, производимого последовательно в неизменных условиях. При этом пространство элементарных исходов W при каждом испытании будет одним и тем же. Испытания будем называть независимыми, если верно равенство
,
где А
i - исход i-го испытания, i = 1, 2, ..., n.Представим себе, что в каждом испытании мы наблюдаем за осуществлением (или неосуществлением) одного и того же события А, вероятность которого, в силу идентичности случайных экспериментов, не зависит от номера испытания, Р(А
i) = p, 0 Ј p Ј 1. Для краткости речи назовем осуществление события А “успехом”, а осуществление события
(неосуществление события А) “неудачей”. Очевидно,
, независимо от номера испытания. Последовательность испытаний, в каждом из которых вероятность “успеха” равна р, называют “схемой Бернулли” по имени швейцарского математика Я. Бернулли.
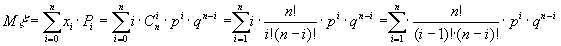
С последовательностью n испытаний Бернулли свяжем случайную величину
x n, равную числу “успехов”, наступивших в результате их осуществления. Очевидно, x n принимает одно из значений 0,1, ..., n.Теорема 12.1. В схеме Бернулли
, (12.1)
где n - число испытаний, p- вероятность “успеха”,
q = 1 - p - вероятность “неудачи”, k = 0, 1, 2, ..., n.
Д о к а з а т е л ь с т в о.
Идею доказательства продемонстрируем вначале на случае, когда n = 2. Возможные исходы двух испытаний можно представить в виде четырех пар символов У и Н: УУ, УН, НУ, НН. В силу независимости испытаний имеем
P(x 2 = 2) = Р(УУ) = p2 ;
P(x 2 = 1) = Р(УН И НУ) = Р(УН) + Р(НУ) = 2pЧ q;
P(x 2 = 0) = Р(НН) = q2.
В общем случае результат n последовательных испытаний, среди которых получено k “успехов” и n - k “неудач”, можно записать в виде строки
(УНУНУУУ ...), в которой всего n символов, из них k литер У, n-k литер Н.
Вероятность каждого такого набора равна
(при этом используется независимость испытаний). Количество таких строк (наборов) равно числу способов выбора k различных элементов (мест для литеры У) среди n различных элементов (всех мест строки), то есть ![]()
По теореме сложения вероятность события (
x n = k) равна сумме вероятностей всех строк (наборов) указанного выше вида, а поскольку число их
. Ё
Заметим, что ![]()
Набор вероятностей ![]()
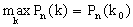
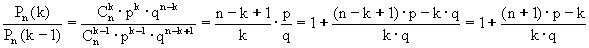
Теперь, естественно, возникает вопрос о нахождении наиболее вероятного числа успехов. Число
, при котором вероятность
максимальна, иногда называют наивероятнейшим числом “успехов”.
Теорема 12.2.
ЕслиД о к а з а т е л ь с т в о.
Рассмотрим отношение
.
Поэтому, если
, то
( с ростом k вероятности возрастают) ; если
, то
( с ростом k вероятности убывают ). Пусть
- наибольшее целое число, не превосходящее
. Тогда
. Если
- целое , то наиболее вероятных значений k
Пример 12.1. Случайная величина x распределена по биномиальному закону. Найти Mx и Dx .
Р е ш е н и е. Запишем ряд распределения случайной величины
x .|
xi |
0 |
1 |
2 |
... |
n |
|
Pi |
P0(0) |
P1(1) |
P2(2) |
... |
Pn(n) |
Здесь ![]()
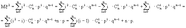
Так как
x - дискретная случайная величина, то в силу ( 10.1 )
.
Вынесем за знак суммы общий множитель np, в результате чего получим
.
Сделаем в последней сумме замену i - 1 = k, что даст
,
поскольку p + q = 1.
Итак,
, то есть среднее число “успехов” в n независимых испытаниях Бернулли равно произведению числа испытаний на вероятность “успеха” в каждом из них.
Для определения D
x воспользуемся (10.2)![]()
Вычислим ![]()

Запишем в последней сумме выражение для ![]()
![]()
Вынесем здесь за знак суммы общий множитель ![]()
Сделаем замену i - 2 = k:
![]()
Теперь получаем
.
. u