§
13. Предельные теоремы в схеме БернуллиВ приложениях часто приходится выяснять вероятности различных событий, связанных с числом успехов в n испытаниях Бернулли при больших значениях n . В этом случае вычисления по формуле (12.1) становятся затруднительными. Трудности возрастают, когда приходится еще суммировать вероятности (12.1).
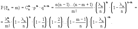
(13.1)
Затруднения возникают также при малых значениях p и q . Иногда при больших значениях n удается заменить формулу (12.1) какой-либо приближенной асимптотической формулой. Приведем три предельные теоремы, содержащие асимптотические формулы для (12.1) и (13.1) при ![]()
Теорема 13.1. ( Теорема Пуассона ).
Если
и
так, что
![]()
, (13.2)
при любом m = 0, 1, 2, ... .
Д о к а з а т е л ь с т в о.
Пусть
, представим вероятность Р{

Если теперь
, то получим утверждение теоремы.
Таким образом, при больших n и малых р мы можем воспользоваться приближенной формулой
(13.2.1)
В случае, когда оба параметра p, q заметно отличны от нуля (порядок 0.5) на практике используются следствия из теорем Муавра-Лапласа (локальной и интегральной), которые приведем здесь без доказательства.
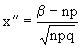
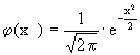
Теорема 13.2. (Локальная теорема Муавра-Лапласа). Если
, (13.3)
где ![]()
c-
Отметим, что значения функции
табулированы. Это упрощает использование ее на практике.
При качественной оценке условий применимости приближенной формулы
(13.3.1)
нужно оценить величину остаточных членов в (13.3). Хорошие приближения эта формула дает при p=q=1/2, ее часто используют при n>100 и npq>20. Указания о границах применимости формул (13.2.1) и (13.3.1) являются приближенными, к ним следует относится с осторожностью.
Теорема 13.3. (Интегральная теорема Муавра-Лапласа).
Если р (0<p<1) постоянно, то при ![]()

равномерно по a,b,
Приближенная формул
(13.4)
используется в тех случаях, когда возможно использование (13.3.1). Отметим, что (13.4) эквивалентна другой формуле
, (13.4.1)
где ![]()
- функция, называется
функцией Лапласа. Она имеет следующие свойства:
1. Ф(0) = 0;
2.
;
3. Ф(-х) = Ф(х), (х > 0).
Значения функции Ф(х) табулированы (см. приложение № 2).
Пример 13.1. Пусть вероятность выпуска сверла повышенной хрупкости равна 0,02. Сверла укладываются в коробки по 100 штук. Чему равна вероятность того, что в коробке не окажется бракованных сверл ?
Р е ш е н и е.
Мы находимся в условиях применимости схемы Бернулли со следующими параметрами: p = 0,02 ; n = 100 ; m = 0 ;
q = 1 - p = 0,98; np = 2.Сравним точные и приближенные значения искомой вероятности.
По формуле Бернулли:
.
По формуле Пуассона:
.
Формула Лапласа дает:
.
Легко видеть, что погрешность, даваемая формулой Лапласа, довольно велика. Если же число испытаний растет, то разница между значениями, даваемыми формулами Пуассона и Лапласа тем меньше, чем больше n .
uРассмотрим одно важное следствие, которое можно получить из (13.4).
Следствие 13.3.1. Формула (13.4) позволяет оценить близость частоты и вероятности. Пусть p - вероятность успеха в схеме Бернулли и
- общее число успехов. Частотой успеха называют отношение
. Оценим вероятность события
. Если
n достаточно велико, тогда, используя (13.4) получим:
(13.5)
Часто возникает обратная задача: сколько нужно провести испытаний, чтобы частота
отличалась от вероятности p не больше, чем на
некоторой вероятностью 1 -
a (a - мало ) .