§ 15. Закон больших чисел

Теория вероятностей изучает закономерности, свойственные массовым случайным явлениям. Познавательная ценность теории вероятностей обусловлена тем, что массовые случайные явления в своем совокупном действии создают строгие закономерности. Само понятие математической вероятности было бы бесплодно, если бы не находило своего осуществления в виде частоты появления какого либо результата при многократном повторении однородных условий.

При достаточно большом числе испытаний характеристики случайных событий и случайных величин, наблюдаемых при испытании, становятся почти неслучайными.

Группа теорем, устанавливающих соответствие между теоретическими и экспериментальными характеристиками случайных величин и случайных событий при большом числе испытаний над ними, а также касающихся предельных законов распределения, объединяются под общим названием предельных теорем теории вероятностей.

Познакомимся с группой утверждений и теорем, объединенных общим названием закон больших чисел.

Рассмотрение теорем закона больших чисел начнем с леммы Маркова и неравенства Чебышева, с помощью которых значительно упрощаются доказательства теорем закона больших чисел.

Оглавление

  Лемма (Маркова)

  Неравенство Чебышева

  Закон больших чисел в форме Чебышева

  Закон больших чисел в форме Маркова

  Теорема Бернулли

  Центральная предельная теорема

Лемма 15.1. (Маркова). Если случайная величина имеет конечный первый абсолютный момент M|x | , то для всех e > 0

(15.1)

Д о к а з а т ь е л ь с т в о.

Проведем доказательство для дискретной случайной величины способом, получившим название метода урезания .

Пусть | x1|, | x2 |, ..., | xn | - есть упорядоченная совокупность всех значений случайной величины x , с соответствующими вероятностными

pi = P{| x | = | xi | }, причем е pi = 1.

Не нарушая общности доказательства, можно допустить, что абсолютные значения случайной величины x расположены в порядке убывания. Выберем произвольное e >0 и предположим, что первые r значений совокупности не меньше e (r Ј n) . Запишем следующее неравенство:

| x1 | p1 + | x2 | p2 + ... + | xr | pr Ј | x1 | p1 + ... + | xr | pr + ... + | xn | pn = M | x | .

Следовательно,

Заменяя в левой части последнего неравенства значение |xi| числом e , получим усиленное неравенство:

e Ч pi Ј M | x | или .

Левая часть выражает вероятность того, что модуль случайной величины принимает значение, не меньшее e , т.е.

. n

Замечание.

1. Вероятность противоположного события, а именно вероятность того, что { | x | < e } удовлетворяет следующему неравенству

. (15.1ў )

2. Для любой положительной сл. величины x верно (15.1) и (15.1ў ).

3. Лемма Маркова справедлива для любого закона распределения. В силу того, что величина вероятности не может быть больше единицы и меньше нуля, при использовании неравенства (15.1) и (15.1ў ) следует иметь в виду, что для получения содержательных утверждений e следует выбирать так, чтобы было верно неравенство .

В начало страницы

Неравенство Чебышева

Лемма 15.2 (Неравенство Чебышева). Если случайная величина имеет конечное математическое ожидание и дисперсию, то для любого положительного числа e справедливо неравенство

. (15.2)

Д о к а з а т е л ь с т в о.

Воспользуемся леммой 15.1. Рассмотрим случайную величину

h = | x - M x | . Т. к. случайная величина h - положительна, то неравенства

| x - M x | < e и (x - M x )2 < e 2 равносильны. Применим лемму Маркова к случайной величине h 2 . Тогда имеем

.

В силу равносильности неравенств и ,(h і 0) имеем равенство вероятностей Р{} = P{}, откуда получаем

. n

Замечание.

1. Очевидно, что

. (15.2/)

2. Неравенство Чебышева, как и неравенство Маркова, справедливо для любого закона распределения.

3. Неравенство Чебышева для практики имеет ограниченное значение, поскольку часто дает грубую оценку. Пусть, например, e = s /2, тогда в силу (15.2’) имеем

.

Но и без того ясно, что вероятность не может быть больше единицы.

Если теперь e = 10s , то

.

Это неплохая оценка вероятности. Однако следует отметить, что теоретическое значение неравенства Чебышева очень велико.

Определение 15.1. Последовательность случайных величин x 1,x 2, ..., x n называется сходящейся по вероятности при к случайной величине x , если для всех e > 0 , или, что эквивалентно,

В начало страницы

Закон больших чисел в форме Чебышева

Теорема 15.1. (Закон больших чисел в форме Чебышева)

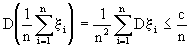
Пусть случайные величины x 1, x 2, ..., x n, ... , попарно независимы и имеют конечные дисперсии, ограниченные одной и той же постоянной с: Dx i Ј c, i = 1,2, ... . Тогда для любого e > 0

. (15.3)

Д о к а з а т е л ь с т в о.

В силу условия теоремы верно , i = 1,2, ... и, следовательно,

. Воспользуемся неравенством Чебышева (15.2)

.

Переходя к пределу при в последнем неравенстве, получаем , а так как вероятность любого события не превышает единицы, то

. n

 

Таким образом, закон больших чисел устанавливает условия сходимости среднего арифметического n случайных величин к среднему арифметическому их математических ожиданий.

В начало страницы

Закон больших чисел в форме Маркова

Теорема 15.2. (Закон больших чисел в форме Маркова)

Если последовательность произвольных случайных величин x 1, x 2, ..., x n, удовлетворяет условию

, то для любого e > 0 имеет место

. (15.3)

Д о к а з а т е л ь с т в о.

Рассмотрим случайную величину

и ее математическое ожидание

,

и дисперсию .

Применив неравенство Чебышева, получим:

или

.

Переходя к пределу в последнем неравенстве при , получаем (15.3). n

В начало страницы

Теорема Бернулли

Теорема 15.3. (Бернулли). Пусть m n - число наступлений события А в n независимых испытаниях Бернулли, р - вероятность наступления события А в одном испытании. Тогда для любого e >0

. (15.4)

Д о к а з а т е л ь с т в о.

Из того, что случайная величина m n распределена по биномиальному закону имеем, М(m n) = np, D(m n) = npq и тогда М(m n/n) = p, а D(m n /n) = pq/n. Неравенство Чебышева принимает следующий вид:

.

Переходя к пределу в последнем неравенстве при , получаем (15.4). n

В начало страницы

§ 16. Центральная предельная теорема

Теоремы закона больших чисел, которые устанавливают факт сходимости по вероятности некоторых случайных величин к постоянным их характеристикам независимо от их закона распределения. Группа теорем, касающихся предельных законов распределения суммы случайных величин, носит общее название центральной предельной теоремы. Центральная предельная теорема в форме А. М. Ляпунова устанавливает условия, при которых указанный предельный закон является нормальным.

Интегральная и локальная теоремы Муавра-Лапласа также являются следствиями центральной предельной теоремой для последовательности независимых одинаково распределенных случайных величин, принимающих два значения (см. теоремы 13.2 и 13.3).

Теорема 16.1. (Ляпунова). Если случайные величины в последовательности {x n},(n=1,2, ...) независимы, одинаково распределены и имеют конечное математическое ожидание Мx n и дисперсию Dx n , а также , то для любого действительного х

. 

Говорят, что последовательность случайных величин

, n = 1,2,...

асимптотически нормальна.

В начало страницы

В оглавление