Частина 1. Гроші і
грошові системи
1.1. Походження грошей. Роль держави у творенні
грошей
1.2. Сутність грошей. Гроші як гроші і гроші як
капітал
1.3. Форми грошей та їх еволюція
1.4. Вартість грошей
1.5. Функції грошей
1.6. Якісні властивості грошей
1.7. Роль грошей у розвитку економіки
Висновки та запитання
для самоконтролю
Гроші -
одне з найдавніших явищ у житті суспільства - відіграють важливу роль у його
економічному і соціальному розвитку. Вони завжди привертали до себе пильну
увагу науковців. Уже в працях Платона й Аристотеля є цікаві висловлювання про
гроші. Часто згадується про них і в літописах періоду Київської Русі. Проте
систематичні дослідження грошей і формування їх наукових теорій почалися з
розвитком капіталізму. Вивчення грошей значною мірою визначило формування
економічної теорії як науки.
Класична
політекономія Заходу, по суті, виросла з дослідження фундаментальних проблем
грошей, що були поставлені у працях А. Сміта і Д. Рікардо. Наукові розробки цих
учених стали також джерелом теорії грошей К. Маркса, яка займає важливе місце в
марксистській економічній науці. Багато уваги проблемам грошей приділялося у
працях відомих економістів Заходу XIX-XX ст. - Дж. С. Міля, У. Джевонса, Л.
Вальраса, М. Туган-Барановського, А. Маршалла, Дж. Кейнса, П. Самуельсона, Д.
Патінкіна, М. Фрідмана та ін.
Незважаючи
на багатовікові дослідження і велику кількість теоретичних концепцій грошей,
людство сьогодні не має однозначної й остаточної відповіді на питання, що ж
таке гроші. Уявлення, які не викликали сумнівів в одних суспільних умовах, зі
зміною останніх вступали в суперечність з реальною дійсністю і відкидалися.
Очевидно, все це можна пояснити тим, що сутність грошей змінюється адекватно
змінам характеру суспільних відносин, в яких вони функціонують. Тому для
пізнання природи грошей необхідно з'ясувати питання про їх походження, про
причини, що зумовлюють виникнення та існування грошей в економічному житті
суспільства.
Поява
грошей як результат еволюційного розвитку товарного обміну. Щоб дати науково
достовірне тлумачення сутності грошей, потрібно насамперед дослідити їх
походження. На жаль, світова економічна думка не дала однозначного пояснення
цього процесу.
Починаючи
з Аристотеля і до ХVIII ст. у теорії грошей досить поширеною була думка, що
гроші виникли внаслідок угоди між людьми або запроваджені законодавчими актами
держави задля полегшення обміну товарів. Таке трактування походження грошей
дістало назву раціоналістичної концепції.
Проте
науковий аналіз походження та природи грошей, зроблений класиками політичної
економії А. Смітом, Д. Рікардо, К. Марксом, довів безпідставність
раціоналістичної концепції. Адже гроші в їх найпростіших проявах виникли на
ранніх ступенях розвитку суспільства, коли ні фактор взаємної домовленості, ні
державна влада просто не могли відігравати істотної ролі у формуванні
економічних відносин, тим більше конституювати таку складну їх форму, як гроші.
Засновники
класичної політичної економії дійшли висновку, що виникнення грошей зумовлене
труднощами безпосереднього обміну продуктами праці . На найнижчих щаблях
економічного розвитку, коли виробники тільки почали одержувати надлишки
продуктів своєї праці і хотіли їх обміняти, зробити це було досить складно:
бажання двох суб'єктів ринку щодо обміну споживними вартостями не збігалися.
Наприклад, власник шкур овець хотів виміняти на них зерно, але власнику зерна
потрібна була сокира. Добре, якщо власник останньої мав потребу в шкурах овець,
тоді обмін міг відбутися. Інакше всі троє нічого не могли придбати і поверталися
з ринку зі своїми товарами.
Поступово
учасники обміну впевнювалися в тому, що серед продуктів, котрі обмінюються на
ринку, є такий, попит на який найбільший, тобто він має найвищу споживну
вартість. Цей продукт завжди можна легко обміняти на необхідне в даний момент
благо. Припустимо, що таким продуктом у даній місцевості є сіль. Якщо вона
виявиться в місці обміну, то власник овечих шкур відразу обміняє їх на сіль, за
яку потім виміняє необхідне йому зерно прямо чи опосередковано: спочатку -
сокиру, а за неї - зерно.
У цьому
випадку сіль для власника шкур є не просто споживною вартістю, а засобом
обміну, тобто виконує найпростішу функцію грошей. З розвитком і ускладненням
обміну такі продукти стають дедалі бажанішими для учасників обміну, їх
починають приймати всі в обмін на звичайні продукти, а відтак вони поступово
набувають нової споживної вартості - властивості бути загальним товарним
еквівалентом. В окремих місцевостях, де з глибокої давнини відбувався обмін,
поступово виділялися свої товари на роль загального еквівалента. У такій ролі в
різних народів виступали худоба, хутра, сіль, зерно, черепашки, метали та ін.
Стихійне
закріплення за одним із товарів ролі загального еквівалента означало, власне,
появу грошей в їх найпростішому вигляді. Вони вже могли виконувати висхідні,
базові грошові функції - засобу вимірювання вартості та засобу обігу. Проте на
цій примітивній формі розвиток грошей не зупинився.
У міру
розвитку товарного виробництва, зростання продуктивності суспільної праці,
ускладнення та розширення територіальних меж обміну ринок неухильно посилював
вимоги до грошового товару. Зокрема посилювалися вимоги щодо портативності,
здатності легко ділитися і відновлювати потрібну форму, тривалого зберігання
фізичних якостей, високої питомої вартості та здатності тривалий час утримувати
її на незмінному рівні та ін. Формування перелічених вимог привело спочатку до
заміни в ролі загального еквівалента звичайних товарів першої необхідності
(худоба, сіль, зерно) товарами-прикрасами (перли, черепашки, хутра тощо), а
потім цих останніх - кусочками металів, спочатку звичайних (залізо, мідь), а
потім - благородних (срібло, золото).
Потреби
ринку в забезпеченні ефективного обміну та його вимоги до грошей набули
поступово настільки важливого значення, що відбулося розмежування природної
споживної вартості грошового товару - його здатності задовольняти певну потребу
людини і його специфічної споживної вартості як грошей - здатності задовольняти
потреби ринку в засобах обігу, зберігання вартості тощо. У цій ролі грошовий
товар набув здатності задовольняти будь-яку потребу людини, знеособлену
абстрактну людську потребу як таку. Причому в міру актуалізації другої
споживної вартості грошового товару послаблювався зв'язок останнього з
першочерговими життєвими потребами. Врешті-решт роль грошей взагалі перейшла до
нематеріального носія, що зовсім не має ніяких споживних якостей. Це сталося в
середині XX ст. через демонетизацію золота.
Як
видно з викладеного, виникнення та розвиток грошей - тривалий еволюційний
процес, зумовлений стихійним розвитком товарного виробництва та обміну. Таке
трактування походження грошей дістало назву еволюційної концепції. Воно є більш
науково достовірним і створює сприятливу базу для вияснення сутності грошей. З
нього випливає ряд важливих висновків:
*
по-перше, гроші за походженням - це товар, але не просто товар, а носій певних
суспільних відносин, формування яких зумовило виділення з широкого ряду
звичайних товарів одного - грошового;
*
по-друге, як результат тривалого еволюційного розвитку товарного виробництва і
ринку гроші самі не можуть бути застиглим, раз і назавжди даним явищем, а
повинні постійно розвиватися як по суті, так і за формами існування;
*
по-третє, гроші не можуть бути скасовані чи змінені угодою людей або рішенням
держави доти, доки існують адекватні грошам суспільні відносини, так само як і
не можуть бути "введені" там, де таких відносин не існує.
Роль
держави у творенні грошей. Визнання еволюційної концепції походження грошей не
знімає зовсім питання про роль раціонального чинника в творенні грошей,
насамперед держави. Завдяки своїй суспільній природі і надзвичайно важливій
економічній та соціальній ролі гроші і держава існують у тісному взаємозв'язку
і взаємовпливі. Тому немає підстав взагалі заперечувати роль держави в еволюції
грошей. Але ця роль не конституюча, а трансформуюча. Іншими словами, не держава
створює гроші як економічне явище, хоча вона може визначати та змінювати
зовнішні атрибути грошей, тобто впливати на форму грошей з метою кращого
пристосування їх до ефективного виконання суспільної ролі.
Наприклад,
держава надала металевим грошам форму монети, завдяки державі стала можливою
заміна золотих грошей неповноцінними кредитними грошима, держава визначає
номінал, форму, порядок емісії грошових знаків тощо. Але всі ці дії держави
щодо грошей не зачіпають їх сутності, не визначають і не заперечують її, тобто
мають чітко визначені межі. Якщо ж держава у своїх трансформуючих діях виходить
за ці межі, наприклад емітує такі гроші, які втрачають довіру до себе з боку суспільства,
а отже - перестають бути грошима по суті, то сама економічна дійсність починає
"шукати" чи створювати більш надійні гроші, зокрема вдається до
послуг іноземної валюти чи кредитних зобов'язань (векселів) надійних
комерційних структур. За таких умов держава змушена буде обмежити свій вплив на
гроші вказаними межами, замінити "неякісні" гроші якісними, провівши
грошову реформу, і надалі рахуватиметься з об'єктивною природою грошей у своїх
трансформуючих діях.
Характерно,
що роль держави у формуванні грошей поступово посилювалася в міру розвитку
самих грошей, підвищення їх ролі і посилення вимог до них з боку ринку. На
перших порах, коли сам ринок стихійно висував на роль грошей один з найбільш
ходових товарів зовнішнє втручання в цей процес було мінімальним.
Із
закріпленням ролі грошей за дорогоцінними металами втручання держави у
створення грошей помітно посилилось. Вона взяла на себе зобов'язання надавати
грошам точно визначену форму (монета), установила контроль за виробництвом
грошей (чеканка монет, фіксація проби металу, контроль вмісту дорогоцінного
металу в монетах), організувала боротьбу із фальшуванням монет тощо.
Ще
більшою стала роль держави у функціонуванні грошей після демонетизації золота.
Вона визначає не тільки форму грошей, а й їх вартість, регулюючи насамперед
масу грошей в обороті. Завдяки зусиллям держави, передусім її центрального
банку, звичайні клаптики паперу чи прості записи в бухгалтерських книгах банків
набули здатності виконувати функції і роль грошей.
Проте це
не означає, що держава стала творцем неповноцінних грошей, що її роль у цьому
процесі визначальна, а самі сучасні гроші - виключно продукт, створений
державою. Гроші і сьогодні є продуктом ринку. По-перше, якраз ринок спричиняє
об'єктивну потребу в грошах, з чим держава не може не рахуватися. По-друге,
ринок висуває жорсткі вимоги до носія грошових функцій, і держава повинна
створити такого носія, який здатний найповніше задовольняти ці вимоги.
По-третє, кількість грошей в обороті визначається певними об'єктивними
закономірностями, які держава мусить враховувати у своїх регулятивних діях щодо
грошей. Тому і сьогодні гроші не декретуються державою, а породжуються самою
ринковою економікою.
Сутність грошей. За
своїм місцем у товарному виробництві й обміні гроші - це специфічний товар, що
має властивість обмінюватися на будь-який інший товар, тобто є загальним
еквівалентом.
Природа
грошей як загального еквівалента визначається передусім їх походженням. Як було
показано вище, гроші виникли внаслідок стихійного виділення з безлічі товарів
одного, найбільш придатного за своїми фізичними властивостями виконувати роль
загального еквівалента. Але й після завершення формування грошей як
самостійного економічного явища носієм їх протягом тисячоліть були товари в їх
натурально-речовому вигляді, зокрема срібло і золото. Будучи звичайними
товарами, вони визначали також товарну природу самих грошей, суспільну роль
яких виконували нібито за сумісництвом.
Проте
не можна пояснювати товарну природу грошей тільки їх походженням чи
закріпленням їх суспільної ролі за певним конкретним товаром. Гроші є товаром
самі по собі, по своїй сутності, що визначається їх місцем у товарних
відносинах. Це помітно було вже за тих умов, коли в ролі грошей виступали
конкретні товари. Так, золото, ставши монопольним носієм грошової суті, набуло
подвійного існування - як звичайний товар і як гроші. Подвійність виявлялась як
у його споживній, так і в міновій вартості.
Поряд з
конкретною споживною вартістю як здатністю задовольняти певні потреби людини
золото набуло загальної споживної вартості - здатності задовольняти будь-які
людські потреби внаслідок використання його як загального засобу обміну. Між
конкретною і загальною споживною вартістю золота виникла суперечність - якщо
воно застосовується у першій своїй властивості, то не може використовуватись у
другій, і навпаки.
У міру
розвитку товарного виробництва неухильно загострюється ця суперечність: щоб
задовольнити дедалі зростаючі потреби обігу в золоті-грошах, довелося б
повністю відмовитися від використання його як конкретного товару. У такій
ситуації втрачається особливе значення специфічних властивостей золота як
грошового товару, оскільки реалізувати їх стає дедалі важче.
Вирішення
цієї суперечності було знайдено на шляху ідеалізації грошей, поступового
переходу загальної споживної вартості від конкретного товару-золота до простого
його знаку. Перший крок у цьому напрямі був зроблений у тій сфері грошових
відносин, де природні властивості золота як товару найменшою мірою вимагалися,
- у сфері товарного обігу. Миттєвий характер функціонування грошей як засобу
обігу відкрив шлях для заміщення грошей-золота грошима-знаками.
Реальна
дійсність свідчить і про роздвоєння мінової вартості золота як звичайного
товару і як грошей. Вартість золота як звичайного товару формується під впливом
змін продуктивності суспільної праці в золотодобуванні та змін суспільних
потреб у цьому конкретному товарі. На вартість же золота як грошей впливають,
крім того, ще й такі чинники, як зміни суспільних потреб у грошах в усіх їхніх
функціях, динаміка золотих запасів, нагромаджених у попередні віки, та ін. Тому
вартість золота як грошей стає менш залежною від поточних змін умов видобування
золота, більш сталою, ніж вартість золота як товару.
Особливо
відчутно ці відмінності вартості золота як звичайного товару і як грошей
виявляються в обігу монет. Відомо, що від тривалого обігу монети стираються і
вартість золота, яка реально залишається в монеті, зменшується. Проте в обігу
монети продовжували циркулювати у своїй попередній вартості, що залишилася лише
номінально. У такій номінальній вартості монети продовжували успішно
функціонувати як міра вартості і засіб обігу, тобто виконувати основні функції,
котрі й конституюють явище грошей.
Подібна
роздвоєність вартості золотої монети на реальну і номінальну може відбуватися і
під впливом змін умов і технології видобутку золота. У таких випадках реальна
вартість однойменної монети знижувалася при збереженні протягом певного часу в
ринкових відносинах її попередньої вартості як номінальної, особливо на ринках,
віддалених від місць видобутку золота. Незважаючи на підвищення цін на товари в
місцях його видобутку, значна частина інших товарів тривалий час продовжує
оцінюватися мірою вартості, що стала ілюзорною, застарілою. Лише згодом
поступово вирівнюється номінальна вартість грошей за фактичною вартістю золота
як товару. Однак поки відбудеться одне коло вирівнювання, фактична вартість
може знову змінитись. Отже, номінальна вартість може ніколи її не
"наздогнати" або ж зрівнятися з нею лише на короткий строк.
Це
свідчить про те, що гроші в процесі обігу набувають особливої вартості, яка
може існувати відокремлено і паралельно з внутрішньою вартістю того матеріалу,
з якого вони виготовлені. Гроші стають абсолютним уособленням мінової вартості,
що має вирішальне значення в метаморфозі Товар-Гроші. Можливість формування
такої вартості грошей створила основу для відокремлення явища грошей від
конкретного товарного носія, для виникнення грошей, не пов'язаних з будь-якою
натурально-речовою формою, наприклад депозитні гроші, електронні гроші.
Як
самостійна форма мінової вартості гроші принципово відрізняються від звичайних
товарів. Вони мають не конкретну, а загальну споживну вартість, тобто здатні
задовольнити будь-яку потребу людей, попередньо обмінявшись на відповідні
блага. Тому ринок сприймає гроші як абстрактну цінність, бажану саму по собі
для будь-якого його суб'єкта, незалежно від його конкретних поточних потреб.
Отже, гроші стають абсолютним товаром, який протистоїть на ринку всім іншим
товарам, стає мірилом вартості останніх і безпосереднім втіленням багатства
взагалі.
Як такі
гроші виходять в окремих своїх функціях далеко за межі сфери товарного обміну й
обслуговують усі сфери економіки, зокрема нагромадження вартості, її розподіл,
перерозподіл та використання, у тому числі на потреби інвестування. і Гроші як
гроші і гроші як капітал. Застосування грошей для обслуговування процесів
нагромадження вартості та її продуктивного використання (інвестування) істотно
змінило їх суспільне призначення. З простого засобу обігу, що обслуговував
обмін товарів, вони перетворилися в носія самозростаючої вартості, тобто у
форму капіталу. Вони стали широко обслуговувати нагромадження вартості, використання
її для фінансування розвитку виробництва, формування на цій основі маси
позичкового капіталу та його руху. Забезпечення самозростання вартості стало
пріоритетною ціллю руху грошей у процесі відтворення, яка істотно впливає на
інтереси економічних суб'єктів, на їх взаємовідносини.
При
застосуванні у сфері інвестування гроші стають носієм капіталу, у зв'язку з чим
виникає необхідність розрізняти гроші як гроші і гроші як капітал.
Гроші
як гроші використовуються переважно для реалізації наявної споживної вартості,
тобто їх цільове призначення обмежується посередництвом в обміні.
Гроші
як капітал використовуються для забезпечення зростання наявної вартості. Для
цього виготовлену вартість потрібно реалізувати, нагромадити та використати
так, щоб її не тільки зберегти, а й збільшити. Це можливо лише за умови, що
гроші використовуються для формування промислового чи торговельного капіталу
або як позичковий капітал. В усіх цих випадках цільове призначення грошей
значно розширюється, розвиваються їх нові функціональні форми, зокрема засіб
нагромадження і засіб платежу, істотно зростає роль грошей в економічному житті
суспільства.
Набуття
грошима однієї з форм руху капіталу не означає, що вони перестали
використовуватися як гроші.
Функціонуючи
як капітал, гроші продовжують виконувати свої традиційні функції міри вартості
і засобу обігу, які разом конституюють явище грошей. Тому відмінності між
грошима як грошима і грошима як капіталом досить умовні і визначаються
переважно призначенням грошей при їх використанні економічними суб'єктами.
Гроші є власне грошима насамперед при їх витрачанні на особисте споживання,
оскільки забезпечують купівлю товарів та послуг.
Гроші
стають капіталом переважно при їх нагромадженні, зберіганні та продажу на
грошовому ринку, оскільки це дає власнику грошей додатковий дохід у вигляді
процента.
При
обслуговуванні виробничого споживання гроші одночасно є власне грошима і
капіталом, оскільки сприяють реалізації товару та одержанню прибутку.
Найвиразніше
гроші як капітал виявляють себе в межах кругообороту капіталу окремого
підприємства. Наявна у нього сума грошей (на банківських рахунках, у касах) є
одночасно частиною його оборотного капіталу і масою ліквідності, що забезпечує
його поточну платоспроможність. Збільшення цієї суми одночасно збільшує його
оборотний капітал, тобто масу наявних ресурсів, його ліквідність, робить
підприємство економічно могутнішим.
У межах
всієї економіки наявна сума грошей характеризує лише масу її ліквідності і не є
частиною обсягу реального капіталу. Зростання цієї суми призводить лише до
поліпшення ліквідності економіки, проте обсяг реального капіталу від цього не
збільшується. Якщо зростання загальної маси грошей буде надмірним, це призведе
лише до їх знецінення.
Гроші пройшли
тривалий і складний шлях розвитку з точки зору не тільки ускладнення їх
економічної суті та підвищення суспільної ролі, а й урізноманітнення їх форм.
Під впливом зміни суспільних відносин, формою виразу яких є гроші, та
ускладнення вимог ринку до грошей останні періодично скидали одну форму і
набували іншої, більш адекватної новим умовам. Історія грошей по суті є
процесом поступового відбору окремих товарів чи особливих штучних форм,
найбільш придатних виконувати функції грошей у певних ринкових умовах.
Загальний процес еволюції форм грошей схематично показано на рис. 1.1.
Еволюція
форм грошей відбувалася в напрямі від повноцінних грошей до неповноцінних,
якими є сучасні гроші. Повноцінними були гроші, що мали внутрішню реальну
вартість, адекватну вартості товару, який виконував функції грошей, чи вартості
того матеріалу, з якого гроші були виготовлені, наприклад золоті чи срібні
монети. Неповноцінними є гроші, які набувають своєї вартості виключно в обігу.
При цьому вона може істотно відхилятися від вартості того матеріалу, з якого
вони виготовлені (банкноти, білонна монета, депозитні та електронні гроші). У
сучасний період усі країни світу користуються виключно неповноцінними грошима.
Між
періодами використання повноцінних і неповноцінних грошей знаходиться епоха
використання змішаних форм. У цей період в одних країнах використовували
повноцінні гроші, в інших - неповноцінні (паперові). Крім того, в одних і тих
самих країнах поряд з повноцінними монетами нерідко використовувалися
неповноцінні - білонні - монети, а також паперові, знаки грошей (банкноти).
Останні не мали внутрішньої вартості і були за формою ідентичні неповноцінним
грошам. Проте вони тривалий час вільно обмінювалися на повноцінні монети і їх
вартість, що формувалася в обміні, зближалася з вартістю металу, на який вони
обмінювалися. Тому такі банкноти були тотожні повноцінним грошам.
мал. 1

Початковою
висхідною формою повноцінних грошей були товарні гроші. Спочатку це були
предмети першої необхідності - худоба, сіль, зерно, риба, хліб тощо як найбільш
ходові товари. Так, худоба, що має широкий спектр споживчих ознак, активно і
довго використовувалася в ролі грошей у багатьох стародавніх народів - слов'ян,
індійських племен, інших кочових племен.
На
зміну предметам першої необхідності в ролі грошей поступово прийшли предмети
розкоші, передусім прикраси: намисто з черепашок, перли, хутра, інші
дорогоцінні вироби. Це можна пояснити тим, що попит на предмети розкоші
виявився більш динамічним, тривалим і об'ємним, ніж на предмети першої
необхідності. Та й за своїми фізичними даними вони були менш громіздкі, довше
зберігалися, мали більш сталу вартість.
На
території Київської Русі з цього різновиду товарних грошей найбільш поширеним
було хутро. Слово "гроші" тут з'явилося лише в XIII ст., а до цього
загальний еквівалент називався словом "куна", що означало
"хутро". Саме хутро в цій ролі широко застосовувалося кілька століть,
навіть у середні віки. "Руська правда" часто використовує термін
"куни" в розумінні грошей: "кунамися викупати",
"давать куни в рези" тощо.
Проте
як перший, так і другий різновид товарних грошей був надто примітивним,
функціонував поштучно, не підлягав поділу, виступав у своєму природному
вигляді. Такі гроші відповідали потребам обміну на його найнижчих стадіях.
Другий
великий поділ праці (відокремлення ремесла від землеробства) істотно розширив
межі товарного виробництва й обміну та прискорив розвиток ринку. В обмін почали
надходити не просто надлишки продуктів, а товари, спеціально виготовлені для
даної цілі. Невпинно розширювалися територіальні межі обміну. Тому ринок
поставив перед грошовим товаром нові вимоги - бути однорідним, економічно
подільним, здатним тривалий час зберігати свою вартість. Задовольняти такі
вимоги попередні гроші не могли у зв'язку з їх фізичними властивостями. На їх
місце ринок стихійно висунув метал. Почалася тривала ера панування металевих
грошей.
Проте з
появою металевих грошей їх розвиток не припинився. Унаслідок неухильного
зростання продуктивності суспільної праці збільшувалися можливості для
нагромадження вартості, а відповідно і потреби сфери обміну в масі грошового
товару, який відволікався в обіг зі сфери споживання. На це ринок реагував
постійним посиленням вимог до грошового товару. Останній повинен був мати
високу питому вартість вагової одиниці металу, властивість тривалий час, а
найкраще - вічно, зберігати свої фізичні якості, здатність легко змінювати
зовнішній вигляд, високу портативність тощо.
Потреби
ринку набули настільки важливого значення, що відбулося розмежування природної
споживної вартості грошового товару як його здатності задовольняти певні
потреби людини і його специфічної споживної вартості - здатності задовольняти
вимоги ринку. Причому в міру актуалізації другої споживної вартості грошового
товару послаблювався зв'язок останнього з першочерговими життєвими потребами
людини.
Під
впливом зазначених об'єктивних процесів відбувався стихійний відбір грошового
товару з групи металів. Спочатку використовувалися звичайні метали - залізо,
мідь, бронза та ін., що найчастіше вживалися людьми. Згодом цю роль почало
виконувати срібло як благородний метал з високою питомою і сталою вартістю та
здатністю до зберігання. Проте ще більшою мірою цими властивостями природа
наділила золото, яке теж стало претендувати на роль грошового товару. Почалася
тривала боротьба між сріблом і золотом за "грошовий трон" у товарному
світі. Цей етап у розвитку грошей характеризувався паралельним функціонуванням
золота і срібла в ролі грошей і називався золото-срібним біметалізмом.
Закінчився він наприкінці XIX ст. перемогою золота, установленням золотого
монометалізму.
Еволюція
металевих грошей найбільш відчутно проявилася у двох напрямах: перший - набуття
і вдосконалення монетної форми; другий - розвиток представницьких форм
металевих грошей в обігу.
Монета.
З появою металевих грошей вони використовувалися у формі простих зливків чи
кусків металу. Такі гроші мали величезні переваги перед товарними грошима.
Разом з тим форма зливків обумовлювала певні незручності, які незабаром стали
стримувати розвиток грошових відносин. У кожній платіжній операції необхідно
було зважувати зливки, визначати пробу і, що найгірше, ділити їх на частини.
Щоб уникнути цих незручностей, зливки робили різної ваги. Найбільш відомі купці
ставили на них своє тавро, яке засвідчувало вагу і пробу металу.
Однак
авторитет купця як приватної особи був обмеженим, і його тавро могло
задовольнити вузьке коло суб'єктів ринку. З розвитком торгівлі виникла потреба
таврування зливків більш відомою й авторитетною особою, і ця функція перейшла
до держави. Держави стали виготовляти за встановленою формою зливки металу,
вагу і пробу яких засвідчували своїм штемпелем. Такі зливки дістали назву
монети.
Монета
виявилася найдосконалішою формою повноцінних грошей, тобто тих, що функціонують
в обігу з власною субстанціональною вартістю. Вона обслуговувала економічні
відносини людей протягом майже трьох тисячоліть. За цей час монета теж
розвивалась і змінювалась.
На початку
створення монет суб'єкти ринку не завжди довіряли державному тавру і нерідко
вимагали зважування монети. Особливо часто такі вимоги ставилися, коли монета
використовувалася для розрахунків з іноземними контрагентами або коли існувала
загроза фальшування монет. Лише зростання економічної могутності і стабільності
держави, посилення довіри до державної влади з боку суб'єктів ринку,
удосконалення техніки карбування, що ускладнювала підробку монет, підвищили
довіру до монети, яка стала прийматися за рахунком, без зважування. Змінювалася
сама форма монети: відомі монети квадратні, неправильної форми, овальні, проте
найбільшого поширення набули круглі. Щоб запобігти підробленню та обрізанню
монет, по краях у їх дизайні було застосовано рельєфний малюнок та "зубиювання"
країв.
Білонна
монета. Новий етап у розвитку монети як форми справжніх грошей пов'язаний з
виникненням білонної монети, тобто розмінної, з дрібною вартістю. Вона
призначена для забезпечення нормального виконання грошових функцій основною
(валютною) монетою. Головна відмінність її полягає в тому, що вона карбується
не з дорогоцінного металу, отже є неповноцінною. Причому такою розмінна монета
стала не відразу, а на певному етапі розвитку грошового обігу.
Карбування
поряд з повноцінною монетою неповноцінної було першою реакцією грошей на нову
вимогу обігу - вимогу економічності, що ставала дедалі відчутнішою у міру
розвитку товарно-грошових відносин. Розмінна монета найактивніше
використовується в обігу і тому найшвидше стирається. Більше того, висока
вартість дорогоцінного металу обумовлює необхідність карбування розмірної
монети надто малих розмірів. Така монета була незручною у користуванні і легко
губилася, що призводило до додаткових витрат дорогоцінного металу. Виготовлення
її із звичайного дешевого металу було об'єктивною необхідністю, а успішне
функціонування поряд з повноцінною монетою сприяло пошукам альтернативи
повноцінним грошам і заміні їх неповноцінними.
Переваги
білонної монети (дешевизна, тривале функціонування) допомогли їй залишитися в
обігу і після того, коли повноцінна монета як форма грошей "зійшла зі
сцени". І сьогодні вона широко використовується в усіх країнах, навіть у
тих, які досягли великих успіхів у розвитку безготівкових розрахунків та
електронізації грошового обігу.
Демонетизація золота.
Еволюція металевих грошей досягла свого апогею в період капіталізму вільної
конкуренції. Золоті гроші настільки добре відповідали вимогам ринку, що навіть
найкритичніші дослідники того часу без будь-яких сумнівів ототожнювали гроші з
цим металом. Зокрема, К. Маркс неодноразово підкреслював, що гроші за своєю
природою - це золото і срібло. Таке твердження було справедливим лише для того
часу. Як не міг завершитися розвиток суспільних відносин епохою капіталізму
вільної конкуренції, так не міг закінчитися і розвиток грошей закріпленням їх
за золотом. Ті ж самі еволюційні процеси в суспільному житті зумовили
неспроможність золота назавжди закріпитися в ролі грошей та підготували
передумови для переходу до якісно нового типу грошей - неповноцінних.
Ускладнення
і розширення товарного виробництва та ринкових відносин, що охопили всі сфери
людського суспільства, з одного боку, та поява могутніх неринкових
(державно-монополістичних) факторів впливу на економіку, з іншого, поставили
перед грошовим товаром в епоху золотого монометалізму ще складніші вимоги.
По-перше,
швидко посилювалися вимоги щодо зростання обсягів відтворення грошового товару
відповідно до інтенсивно зростаючих масштабів суспільного виробництва й обігу.
Реакцією на цю вимогу було широке запровадження в обіг розмінних на золото
паперових банківських білетів, оскільки виготовлення золотих грошей було вкрай
обмежене малими запасами золота.
По-друге,
зростали вимоги щодо скорочення витрат на виготовлення грошей для мінімізації
суспільних витрат обігу, які постійно зростали в міру розширення масштабів
виробництва та обігу і спричиненого цим збільшення маси грошей. Навіть при
заміні в обігу золотих монет паперовими банкнотами, але при збереженні розміну
їх на золото, держави повинні були нагромаджувати великі маси золота,
відволікаючи для цього значні обсяги суспільної праці.
По-третє,
сама вартість грошей у нових умовах, що вимагали активного втручання держави в
економічне життя суспільства, повинна була стати більш гнучкою, більш
податливою до державних регулятивних заходів.
Зазначені
вимоги не міг задовольнити жодний товар - продукт людської праці, навіть
найблагородніший з металів - золото. Будучи відносно м'яким і маючи високу
питому вартість, золото відчутно зношувалося в процесі обігу, що призводило до
великих втрат уречевленої суспільної праці. Через незначне поширення золота у
природі видобуток його не міг встигати за зростанням місткості ринку і потреб
його в грошовій масі. Вартість золота найменше піддається будь-яким змінам,
оскільки на неї впливають не тільки фактори, що визначають поточне виробництво,
а й вартість віками нагромаджених золотих запасів. Сама матеріальна форма
золота, фізичні властивості якого зробили його найбільш придатним виконувати
роль грошей у попередні віки, в умовах XX ст. виявилася нездоланною перепоною
для виконання ним цієї ролі. Відбувся процес демонетизації золота: спочатку з
обігу були вилучені золоті монети, замість них сферу обігу стали обслуговувати
неповноцінні гроші, а згодом повністю було зупинено обмін неповноцінних грошей
на золото в будь-якій формі.
Еволюційні
процеси в економіці, які спричинили демонетизацію золота, підготували підґрунтя
для запровадження нематеріальних носіїв грошової суті - так званих кредитних
грошей. Як зазначалося вище, саме золото виконувало грошову роль не стільки у
своїй реальній вартості, скільки в номінальній. Поступово воно набуло особливої
споживної вартості як загального еквівалента, що заслонила собою його природну
споживну вартість. Відтак світова практика використання золотих грошей
підготувала суспільство до сприйняття нематеріальних грошей, не пов'язаних із
золотом, як більш ефективної грошової форми. На цій підставі економічна думка
остаточно дійшла висновку, що гроші не адекватні золоту, що вони - щось інше,
складніше явище суспільного характеру, який не може бути виражений навіть
благородними металами .
Неповноцінні
гроші - це гроші, які не мають власної субстанціональної вартості. Перехід до
неповноцінних грошей відбувався поступово. Перші їх форми з'явилися ще за часів
панування металевих грошей. Тому в історії грошей був тривалий період існування
змішаних форм, властивих повноцінним і неповноцінним грошам. Основними формами
неповноцінних грошей є білонна (розмінна) монета, паперові гроші (казначейські
зобов'язання), банківські зобов'язання (банкноти), депозитні вклади,
квазігроші. Не маючи субстанціональної вартості, усі вони застосовуються як
гроші лише тому, що в економічних контрагентів, які їх одержують як платіж, є
віра в можливість використати їх для забезпечення своїх майбутніх платежів.
Фактор довіри до цих форм стає вирішальним для їх функціонування як грошей,
завдяки чому вони дістали також назву кредитних.
Кредитні
гроші класифікуються за кількома критеріями. Залежно від форми існування
виділяють паперові гроші, монету, депозитні гроші, електронні гроші, залежно
від статусу емітента та характеру емісії - казначейські та банківські гроші.
Поняття
паперових грошей має два тлумачення: широке, коли паперовими називають будь-які
грошові знаки, виготовлені з паперу (розмінні і нерозмінні банкноти,
казначейські білети тощо), і вузьке, коли паперові гроші ототожнюються зі
знаками вартості, що емітуються казначейством для покриття бюджетних витрат. У
цьому підручнику будемо застосовувати поняття паперових грошей у вузькому
розумінні.
Паперові
гроші - це нерозмінні на метал знаки вартості, що випускаються державою для
покриття своїх (бюджетних) витрат і наділяються нею примусовим курсом, визнаються
законодавчо обов'язковими до приймання у всі види платежів. По суті, це -
завершена форма знака вартості, яка відірвалася не тільки від субстанціональної
вартості грошей, а й від реальних потреб обороту. Мірилом їх емісії стає не
потреба обороту в платіжних засобах, а потреба держави у фінансуванні
бюджетного дефіциту. Такі гроші називають ще декретними, або казначейськими.
Виникнення
паперових грошей зумовлене тими самими об'єктивними причинами, які привели в
кінцевому підсумку до демонетизації золота. Проте у кожному конкретному випадку
до випуску паперових грошей державу спонукають більш "прозаїчні"
причини. Передусім це - необхідність покрити дефіцит державного бюджету,
оскільки уряд неспроможний це зробити збільшенням надходжень грошових коштів з
інших джерел.
Об'єктивні
умови для створення паперових грошей в окремих країнах остаточно визріли на
початку переходу до капіталістичного способу виробництва. У попередніх
формаціях таких передумов не було. Тому окремі спроби випустити там паперові
гроші були спорадичними і закінчувалися невдачею. Населення сприймало їх як
гроші і погоджувалося одержувати у платежі лише доти, доки держава підтримувала
надію обміняти їх на реальні цінності. Як тільки така надія зникала, паперові
гроші вилучалися з обігу і будь-які каральні заходи держави не могли змусити
населення брати їх як гроші.
Отже,
паперові гроші - це не "витвір" держави, а об'єктивний продукт
розвитку економічних відносин у суспільстві. Роль держави обмежується тим, що,
використовуючи об'єктивно обумовлені можливості заміни повноцінних грошей
неповноцінними знаками вартості, вона друкує ці знаки і визначає умови випуску
їх в обіг. І доки випуск паперових грошей не перевищуватиме об'єктивних потреб
обігу в грошах, доти вони будуть виконувати функції засобів обігу і платежу.
На чому
ж базується довіра суб'єктів обігу до простих клаптиків паперу як до
повноцінних грошей? На початку їх випуску, коли паперові гроші тільки входять в
обіг, така довіра може забезпечуватися державою двома способами:
1)
обіцянкою розмінювати нові гроші в майбутньому на золото, як це було в
радянській Росії в 1922р. при випуску нових грошей - червінців;
2)
"прив'язуванням" випуску паперових грошей до кредитних грошей чи
будь-яких кредитних зобов'язань, що до цього були в обігу в даній чи сусідній
країні і до них сформувалася довіра суб'єктів ринку.
У
більшості країн - у XIX-XX ст. паперові гроші виникали на основі розмінної
банкноти, яка була в обігу. У певний момент розмін банкнот припинявся, і без
будь-якої зміни зовнішнього вигляду їх починали випускати для покриття
бюджетного дефіциту, тобто вони ставали паперовими грошима. Проте суб'єкти
ринку не відразу помічали таку зміну їх сутності і приймали в платежі.
Після
впровадження паперових грошей в обіг довіру до них може підтримувати певний час
держава методами економічної політики. В умовах розвинутої ринкової економіки
держава є наймогутнішим і найактивнішим суб'єктом економічних, у тому числі
грошових, відносин. Вона має широкі податкові зв'язки з усіма суб'єктами
грошового обороту і є одним з найбільших виробників товарів і продавцем їх на
ринку, а також одним з найактивніших суб'єктів на ринку цінних паперів. У всіх
цих випадках держава одержує гроші у великих розмірах від інших суб'єктів сфери
обігу, і якщо вона погоджується одержувати платежі в паперових грошах, то інші
суб'єкти обігу приймають їх у платежі і між собою.
Тут діє
фактор довіри до наймогутнішого з економічного погляду партнера, який істотно
впливає на поведінку всіх інших суб'єктів, унаслідок чого вони сприймають
паперові знаки як повноцінні гроші. Ця дія базується не на суб'єктивній, а на
об'єктивній економічній основі, на якій розвивається кредит взагалі. Доти, доки
суб'єкти сфери обігу мають можливість купити за свої паперові знаки товари чи
послуги, вони віритимуть у кредитоспроможність держави і прийматимуть паперові
гроші як платіж за свої товари, у тому числі й від держави.
Крім
фактора довіри до держави-емітента, обіг паперових грошей, навіть за умови їх
знецінення, підтримується й іншими чинниками. Для багатьох суб'єктів обігу
немає вибору, і вони можуть обміняти свій товар, лише продавши його за паперові
гроші. Передусім держава забороняє обіг іноземної валюти на внутрішньому ринку,
і населення як один з найчисленніших його суб'єктів змушене продавати свою
робочу силу за національні грошові знаки, що відкриває їм шлях в обіг. Ті ж
суб'єкти, які мають можливість продати свій товар за іноземну валюту чи по
бартеру (зокрема підприємства), як правило, використовують цю можливість,
обмежуючи сферу обігу національних грошей. Тому зростання інфляції неминуче
супроводжується бартеризацією, доларизацією відносин, як це було в Україні в
1990-2000 pp.
Крім
того, більшість суб'єктів ринку мають певні запаси нагромаджених паперових
грошей. Будучи неспроможними обміняти їх на товари чи іноземну валюту, вони
змушені підтримувати їх обіг, щоб остаточно не втратити свої заощадження.
Усе це
свідчить про те, що паперові гроші мають не тільки певні ознаки кредитних
грошей, а й явні специфічні особливості, що дає підстави класифікувати їх як
окремий, менш розвинутий вид кредитних грошей.
Визначальними
ознаками паперових грошей є випуск їх для покриття бюджетного дефіциту;
нерозмінність на золото; примусове запровадження в оборот; нестабільність курсу
і неминуче знецінення. Ці ознаки властиві насамперед грошам, що емітуються
безпосередньо урядом в особі Міністерства фінансів. Звичайно вони називаються
казначейськими білетами, зобов'язаннями тощо. Але цих ознак можуть набути і
гроші, які емітуються банками, зокрема центральним банком, якщо емісія їх
спрямовується на фінансування бюджетного дефіциту. Про це переконливо свідчить
досвід України 1991-1993рр., коли кредитна емісія Національного банку
перетворилася у ключове джерело фінансування бюджетних витрат. Як наслідок -
знецінення українських грошей за 1993 р. у 100 разів.
Банківські
гроші - це теж неповноцінні знаки вартості, які емітуються банками на основі
кредитування реальної економіки, завдяки чому їх випуск тісно пов'язується з
потребами обороту, забезпечується їх вилучення з обороту і підтримка стабільної
вартості. У цьому полягає їх принципова відмінність і перевага порівняно з
паперовими грошима.
Банківські
гроші виникли стихійно з ринкових відносин, але на значно вищому ступені
розвитку, на якому кредит став їх іманентною складовою. Коли ринкові зв'язки, а
разом з ними і взаємна довіра суб'єктів ринку досягли такого рівня, що один із
суб'єктів наважився передати другому товар чи іншу вартість під зобов'язання
заплатити в майбутньому, була відкрита можливість виникнення принципово нової
форми кредитних грошей, альтернативної паперовим грошам. Сам торговельний
оборот породив так звані торгові гроші у формі боргової розписки, або
комерційного векселя. Використаний як платіжний засіб, він став обертатися. З
простої розписки боржника вексель стихійно перетворився в платіжний і
купівельний засіб, тобто в носія важливих функцій грошей. Проте економічна
потуга комерційних структур - емітентів векселів була незначною, тому сфера їх
застосування як грошей була обмеженою.
З розвитком
банківського кредиту і банківської справи взагалі банки стали випускати замість
комерційних векселів свої зобов'язання - банкноти, які поступово перетворилися
в універсальний платіжний і купівельний засіб і стали самостійним видом
кредитних грошей - банківськими грошима. Згодом, коли банки стали широко
залучати банкноти від клієнтів на вклади, виникла друга форма банківських
грошей - депозитні гроші.
Банкнота
в самому загальному трактуванні є простим векселем емісійного банку. Особливо
чітко виявлялася спорідненість її з векселем на першому етапі розвитку, коли
вона мала форму так званої класичної банкноти.
Історично
"класична" банкнота виникла з розписки середньовічних банкірів про
взяття на збереження від купців золота та про зобов'язання повернути його за
першою вимогою. У міру зростання багатств банків їхні розписки (банкноти) стали
користуватися такою довірою, що почали прийматись у платежі нарівні із золотою
монетою. Поступово такі розписки набули строго встановленої форми й
абстрактності як важливих ознак векселя і стали подовгу затримуватися в обігу,
не повертаючись у банки для виплати по них золота. Ця обставина дала можливість
банкірам видавати свої банкноти купцям на суму, що перевищувала вартість
золота, прийнятого на збереження, тобто перейти від повного до часткового
покриття банкнот. Не покриті золотом банкноти стали видаватися підприємцям
взамін комерційних векселів. З цього часу (кінець XVII ст.) починається власне
історія "класичної" банкноти.
Характерними
ознаками "класичної" банкноти є:
1)
випуск її емісійним банком замість комерційних векселів;
2)
обов'язковий обмін на золото за першою вимогою власників;
3)
подвійне забезпечення: золоте (золотим запасом банку) і товарне (комерційними
векселями, що перебували у портфелі банку).
Завдяки
цим ознакам банкнота істотно відрізнялася від комерційного векселя. Якщо
останній має приватну гарантію, що забезпечується капіталом одного чи групи
підприємств, то банкнота - суспільну гарантію, яка базується на капіталах усіх
підприємців, що зберігаються в банках. Банкноти на відміну від векселів є
безстроковими зобов'язаннями, не пов'язаними з конкретними торговельними
операціями. Вони можуть випускатися в будь-яких купюрах і перебувати в обігу
будь-який термін, що дає можливість розраховуватися ними по всіх можливих
платежах. Ці переваги надали банкноті особливої якості - загальної оборотності,
якої не мав вексель.
Подвійне
забезпечення "класичної" банкноти гарантувало їй надійність, сталу
вартість, нормальний обіг та високу еластичність обігу. Через забезпечення
комерційними векселями досягалося саморегулювання обігу банкнот. Видаючи позики
під заставу чи дисконт векселів, банк збільшував кількість банкнот в обігу, а
при оплаті векселів банкноти поверталися до банку, що забезпечувалося
строковістю і безспірністю комерційного векселя.
Випуск
векселів у тісному зв'язку з торговельними операціями забезпечував погодженість
випуску банкнот з реальними потребами обороту - у міру зростання цих потреб
випуск банкнот збільшувався, і навпаки. Проте випуск банкнот під комерційні
векселі не завжди забезпечував автоматичне пристосування до потреб обороту. Це
зумовлювалося цілою низкою обставин: обліком фінансових векселів, у тому числі
казначейських, зниженням цін на товари та прискоренням обігу банкнот, унаслідок
чого зменшувалася потреба в грошах до настання строків погашення векселів, та
ін. У всіх цих випадках виникала загроза появи зайвих банкнот та їх знецінення.
Запобігти цьому міг вільний розмін банкнот на золото: зайві банкноти
пред'являлися в банки для обміну на золото.
Період
"класичної" банкноти закінчився з повним припиненням розміну її на
золото після світової економічної кризи 1929- 1933 pp. У нових умовах банкнота
втратила золоте забезпечення і свою кінцеву гарантію сталості вартості - розмін
на золото. Це значно зблизило сучасні банківські гроші з паперовими, оскільки
зняло внутрішнє гальмо їх знецінення.
Проте
справа полягає не тільки в припиненні розміну банкнот на золото. У сучасних
умовах зазнав деформації і механізм автоматичного регулювання емісії банкнот на
основі вексельного забезпечення. Передусім поряд з комерційними стали значно
ширше використовуватися казначейські векселі та облігації державних позик для
забезпечення випуску банкнот. Оскільки зобов'язання держави не є реальними
цінностями, кредитування їх емісійним банком значно ускладнило зв'язок емісії з
реальними потребами обороту. Різке зниження частки комерційних векселів і
збільшення казначейських векселів та облігацій держави в забезпеченні емісії
грошей означає переорієнтацію її з потреб товарообороту на потреби державного
казначейства. Через задоволення останніх банкноти потрапляють у сферу
товарообороту, при цьому лише частково вони задовольняють його потреби, а
частково виявляються зайвими, проте залишаються в обороті. У цьому відношенні
механізм емісії банкнот стає подібним до механізму емісії паперових грошей. Це
також зближує сучасну банкноту з казначейськими білетами.
Разом з
тим така банкнота повністю не втрачає своїх специфічних ознак банківських
грошей, зберігає в обігу певні переваги порівняно із суто паперовими грошима і
є найпоширенішою формою готівкових грошей у країнах з розвинутою ринковою
економікою. Головні її ознаки і переваги полягають у тому, що навіть на
покриття витрат держави вона випускається не безпосередньо і безповоротно, а
через кредитування під боргові зобов'язання казначейства. Ця, здавалося б,
незначна деталь емісійного механізму має принципове значення. Вона передбачає,
що держава як економічно самостійний суб'єкт грошового обороту може брати
участь в емісійному механізмі нарівні з комерційними підприємствами, якщо
прагнутиме до забезпечення збалансованості свого фінансового господарства і
виявиться здатною своєчасно погашати свої борги емісійному банку. У зв'язку з
цим важливого значення набуває проблема регулювання державного боргу,
підтримання його обсягів на економічно обґрунтованому рівні, установлення
широкого демократичного контролю за його формуванням, включаючи лімітування
його розмірів, а також за взаємовідносинами між казначейством і центральним емісійним
банком.
Дуже
важливо, щоб ці два органи, що перебувають по різні боки емісійного джерела, не
стали "двома кишенями на одному й тому ж самому державному піджаку",
якими розпоряджається "одна рука". У такому випадку гроші завжди
будуть безперешкодно "перекочовувати" з емісійної "кишені"
в казначейську й остаточно зникне відмінність між банкнотами і казначейськими
білетами. Щоб не допустити цього, більшість країн законодавче встановили чітке
розмежування між центральним емісійним банком та державним казначейством,
вивівши банк з підпорядкування уряду і зробивши його самостійним державним
провідником монетарної політики.
Зважена
політика щодо державного боргу та виплати доходу за облігаціями державних позик
забезпечує ринковий попит на вказані цінні папери. Це дає можливість
центральному банку через регулювання свого портфеля таких паперів впливати на
масу банкнот, продаючи їх на фондовому ринку - зменшувати, а купуючи -
збільшувати їх кількість в обороті.
Не
втратив свого значення і механізм саморегулювання банкнотного обігу через
забезпечення їх емісії комерційними векселями. Проте дія його значно змінилася.
Банківські позички під комерційні векселі стали видаватися переважно в
депозитній, а не в банкнотній формі. Тому емісійні банки через цей механізм
регулюють масу депозитних грошей в обороті, опосередковано впливаючи і на обіг
банкнот.
Депозитні
гроші - це різновид банківських грошей, який існує у вигляді певних сум,
записаних на рахунках економічних суб'єктів у банках. Вони не мають речового
виразу і використовуються для платежів у безготівковій формі. Рух їх
здійснюється по рахунках у банках і не виходить за межі банківської системи. А
приводяться вони в рух за допомогою технічних інструментів - чеків, платіжних
доручень, пластикових карток тощо.
Потреба
в такій формі грошей об'єктивно зумовлена посиленням вимог щодо економічності
та зручності грошового обороту тоді, коли його обсяги і суми окремих платежів
досягають значних розмірів. Вона має істотні переваги перед готівковою формою
грошей (банкнотами): значно економніша, зручніша у користуванні, піддається
контролю з боку банків за оборотом після емісії. Тому у сучасних умовах
депозитні гроші стали основною формою грошей у країнах з розвинутою ринковою
економікою, їхня частка становить близько 90% усієї грошової маси в обороті.
Успішне функціонування депозитних грошей можливе лише за високого рівня
розвитку банківської справи, коли кожний суб'єкт грошового обороту може вільно
покласти свої гроші в банк, взяти їх звідти, швидко перевести в будь-який пункт
ринку і йому гарантується повне їх збереження. За цих умов власник грошей на
рахунку в банку може дати доручення останньому перерахувати всю суму чи частину
її своєму контрагенту і в такий спосіб погасити борг. Переміщуючись по рахунках
у банках, депозитні грошові суми успішно виконують функції купівельного та
платіжного засобів, а відтак включаються в загальний грошовий оборот.
В
Україні в перехідний період не було достатніх передумов для широкого
застосування депозитних грошей. Низька надійність банків та високий рівень
тінізації економіки спричинили зниження частки депозитних грошей у загальній
масі в окремі роки до 50%, що негативно впливало на стан грошового обороту та
функціонування банків.
Електронні
гроші - це різновид депозитних грошей, коли переказування грошових сум по
рахунках у банках здійснюється автоматично з допомогою комп'ютерних систем за
безпосередніми розпорядженнями власників поточних рахунків. Ця форма органічно
поєднує у собі всі переваги депозитної та готівкової форм грошей: немає потреби
переносити чи перевозити великі маси готівки; досягається значна економія
витрат на їх виготовлення, збереження, перерахування, перевезення тощо; кожний
платник має можливість вмить виконати платіж, попередньо перевіривши всі його
умови і здійснивши відповідні розрахунки, як і в платежах готівкою.
Носієм
електронних грошей є пластикова картка - іменний грошовий документ, що
видається банком власнику поточного рахунку і дає йому можливість оплатити
через комп'ютерні мережі свої покупки і погасити борги переказом грошей по
рахунку без використання готівки. Упровадження пластикової картки в
розрахунково-платіжну практику значно розширило сферу функціонування депозитних
грошей, включило в неї масові платежі населення, прискорило обіг грошей,
створило великі зручності для платників, зменшило витрати обігу. Все це надало
депозитним грошам нової якості, що знайшло відображення в новій назві -
"електронні гроші". Детальніше депозитні та електронні гроші будуть
розглянуті в розділі 4.
"Квазігроші",
або майже гроші, - це специфічні грошові форми, в яких грошова суть істотно
послаблена, відхиляється від загальноприйнятих, стандартних форм. Таке
відхилення можливе з кількох причин:
- коли
в стандартних формах значно послаблюється грошова суть. Так, при розміщенні
грошей у довгострокові вклади вони зберігають звичайну форму депозитних грошей,
проте при цьому дещо знижується їх ліквідність, здатність бути платіжними
засобами;
- коли
грошові функції виконують нестандартні форми, які не можна віднести до жодної з
зазначених вище. Наприклад, вексель у певних межах може використовуватися як
гроші у функції купівельного і платіжного засобу, хоч не є грошима в
загальноприйнятому розумінні. Те ж саме можна сказати про чек та деякі інші
грошові інструменти.
Використання
"квазігрошей" має позитивний вплив на економіку:
- дає
можливість підвищити ліквідність ринку за рахунок запровадження в оборот
додаткових платіжних інструментів квазігрошових форм, передусім векселів;
- дає
можливість зменшити масу платіжних засобів в обороті за рахунок вилучення їх у
довгострокові депозитні вклади, що сприяє оздоровленню кон'юнктури ринків;
-
робить управління грошовою масою, а отже пропозицією грошей, більш гнучким і
ефективним.
"Квазігроші"
мають досить тривалу історію. Так, вексель з'явився і почав використовуватися
як платіжний інструмент раніше, ніж банкнота, яка бере свій початок з векселя.
Чек з'явився після того, як банки стали приймати гроші на вклади, тобто
приблизно одночасно з банкнотою. Власник вкладу міг двояко реалізувати право на
свої гроші:
1)
взяти розписку банку і використати для платежу за своїми зобов'язаннями. Така
розписка відкрила шлях для банкноти;
2)
домовитися з банком, що він даватиме йому письмові накази про видачу всієї чи
частини суми вкладу певній особі, а банк виконуватиме їх. З таких наказів
розвинувся чек.
Тому
квазігроші не є якоюсь випадковою, чи нав'язаною грошам формою. Поява і тривале
використання їх є закономірним результатом еволюції форм грошей. У перспективі
вони теж будуть змінюватися. Зокрема, широкий розвиток "електронних
грошей" може призвести до втрати чеком свого значення в обороті депозитних
грошей і своєї ролі як виду "квазігрошей".
У
теорії грошей чи не найскладнішою є проблема їх вартості. В історії світової
економічної думки не одна спроба визначних мислителів дати наукове пояснення
природи грошей розбивалася якраз об цю проблему. Зокрема, не змогла дати
переконливого пояснення вартості грошей "державна теорія грошей", представники
якої зводять природу грошей до "продукту правопорядку", до
"хартального платіжного засобу", вартість якого встановлюється
державою незалежно від їх внутрішньої субстанціональної вартості.
Апогею
у своєму розвитку ця теорія досягла на початку XX ст. (у працях Г. Кнаппа, Ф.
Бендіксена, К. Ельстера та ін.), коли неповноцінні гроші набули значного
поширення, проте не втратили прямого чи опосередкованого зв'язку із золотом,
оскільки ще не відбулася демонетизація золота. У цих специфічних умовах втручання
держави в грошову сферу було очевидним, а вартість грошей залишалася відносно
стабільною, що й надавало правдоподібності концепції державотворчого походження
вартості грошей. Після демонетизації золота, коли інфляційне знецінення
неповноцінних грошей набуло загрозливого характеру і не піддавалося прямому
державному регулюванню, стала очевидною помилковість цієї концепції.
Подібного
метаморфозу зазнала і марксистська теорія грошей, яка абсолютизувала їх товарну
природу ("гроші по своїй природі - це завжди золото і срібло" - писав
К. Маркс), а вартість грошей пояснювала з позицій трудової теорії вартості,
тобто визначала субстанціональною вартістю того товару, що функціонував як
гроші. Проте після демонетизації золота, коли були перекриті всі канали впливу
вартості золота на товарні ціни, стала очевидною безпідставність концепції
трудового походження вартості грошей. Представники марксистської теорії так і
не змогли подолати суперечності між їх теорією трудової вартості і
нематеріальною формою грошей, яке виникло в реальній дійсності після
демонетизації золота. Це призвело до істотного послаблення позицій
марксистської економічної теорії взагалі.
Сучасна
світова економічна думка розрізняє два аспекти в питанні про вартість грошей:
вартість грошей як грошей і вартість грошей як капіталу.
Гроші
як капітал набувають свою вартість на грошовому ринку під впливом попиту і
пропозиції, і виступає вона у формі процента. Механізм формування вартості
грошей як носія капіталу буде розглянуто в розділі 3.
Вартість
грошей як грошей формується безпосередньо у сфері їх обігу, де гроші
обмінюються на реальні блага, а вартість їх набуває форми купівельної
спроможності. Проте механізм формування цієї вартості грошей істотно
розрізняється при функціонуванні повноцінних і неповноцінних грошей.
Як
показано в розділі 1.2, мінова вартість повноцінних грошей, з якою вони беруть
участь в обігу, під впливом цілого ряду об'єктивних чинників набуває відносної
самостійності і певний час може відхилятися від реальної їх вартості. При цьому
мінова вартість є більш інертною порівняно з реальною. Тому ціни на товарних
ринках і купівельна спроможність таких грошей певний час залишалися незмінними
після зміни вартості золота як товару, що мало позитивний вплив на розвиток
ринкових відносин.
Разом з
тим мінова вартість золотих грошей, що перебували в обігу, не могла повністю
відірватися від реальної вартості золота як товару. Цьому заважала дія закону
вартості у сфері виробництва й обміну золота. Якщо мінова вартість (купівельна
спроможність) монети знижувалася порівняно з реальною, то зменшувалась
рентабельність виробництва золота, підприємства з гіршими умовами видобутку
закривалися, і реальна вартість золота знижувалася до рівня мінової.
Якщо ж
реальна вартість повноцінних грошей зменшувалася порівняно з міновою, то в
кінцевому підсумку підривалася довіра до таких грошей та їх емітента, наставав
розлад грошового обігу і системи цін. Держава змушена була або перекарбовувати
монету, щоб підвищити її реальну вартість до мінової, або взагалі відмовитися
від золотомонетного обігу.
Можливість
роздвоєння вартості повноцінних грошей здавна була помічена людьми і широко
використовувалася у власних інтересах тими, хто карбував монети. На цій
можливості базувалося звичайне фальшування монет, їх обрізування приватними
особами, відоме ще із стародавніх часів. Проте й держави нерідко
використовували таку можливість для погіршення якості грошей з метою поліпшення
становища своєї казни чи в інтересах певних соціальних груп. Якраз заради цього
всі держави з перших кроків свого існування домагалися повної монополізації
карбування монет.
Як же
формується вартість неповноцінних грошей; що не мають внутрішньої
субстанціональної вартості? її формування і функціонування відбувається під
впливом тих самих факторів, які в умовах золотомонетного стандарту спричинювали
відхилення номінальної вартості золотих грошей від реальної. У міру заміщення в
обігу золота його знаками цей розрив посилювався і навіть розмінні на золото
гроші все більше виступали в їх номінальній, а не реальній вартості. З
припиненням розміну банкнот на золото гроші залишилися в обігу тільки у своїй
номінальній вартості. По суті, вона стала ірраціональною величиною, яка
визначається не втіленою в грошовому товарі суспільною працею, а тим
середовищем, у якому гроші функціонують.
Маса
грошових знаків, що вступає у сферу обміну в кожному наступному циклі
відтворення, - величина не випадкова. Вона зумовлена насамперед сукупною
міновою вартістю товарів, які реалізовані в попередньому циклі і вийшли у сферу
споживання. Грошові знаки, залишаючись в обігу, продовжують представляти цю
сукупну товарну вартість, будучи її відбитком. Це виявляється в тому, що кожний
власник грошей, вступаючи з ними в черговий цикл обміну, розглядає їх як
конкретну реальну вартість і готовий платити за потрібний товар не будь-яку їх
суму, а лише ту, яка забезпечить йому привласнення еквівалентної вартості.
Якщо в
черговому циклі обміну товарів виявиться менше, ніж було в попередньому, або в
обігу перебуватиме зайва маса грошових знаків при тій самій масі товарів, то
між грошовою і товарною масами складеться нове співвідношення, в якому попит
перевищуватиме пропозицію. Покупці будуть готові платити, а продавці
вимагатимуть більшу суму грошей, ніж у попередньому циклі. Грошова маса
знеціниться порівняно з товарною, і ціни на товари зростатимуть. Складеться
новий, знижений рівень мінової вартості грошей, з якою вони перейдуть у
наступний цикл відтворення.
Якщо в
цьому циклі в обмін надійде більша маса товарів або частина грошей якимось
чином буде вилучена з обігу, то товарна пропозиція перевищить попит, не всі
товари можуть бути реалізовані і продавці змушені будуть знижувати ціни. У
грошей сформується нова (підвищена) мінова вартість, з якою вони ввійдуть у
наступний цикл обміну.
Обумовленість
вартості неповноцінних грошей відтворювальним процесом відіграє вирішальну роль
у наданні грошам кредитного статусу, у перетворенні їх у реальні боргові
зобов'язання певних економічних суб'єктів (уряду, центрального банку, інших
банків та комерційних структур).
Крім
того, будучи борговими зобов'язаннями, гроші спираються на економічну
могутність та авторитет тих суб'єктів, які їх емітували. Довіра до них
учасників ринку як до реальних цінностей формується залежно від динаміки цієї
могутності та рівня авторитету.
Так,
довіра до банкнот і розмінної монети, які емітуються центральним банком,
базується на економічному потенціалі всієї країни і є значно вищою, ніж довіра
до депозитних грошей, що спираються на потенціал окремих комерційних банків. Не
випадково в умовах хронічної економічної і фінансової кризи, яку переживала
Україна в 1991-2000 pp., питома вага готівки постійно зростала і досягала 50%,
а ціни на товари при реалізації за готівку нерідко були нижчими, ніж при
реалізації по безготівковій оплаті. І жодні адміністративні заходи з боку уряду
та НБУ не могли переломити цю тенденцію.
Крім
розширення суспільного виробництва та зростання економічного потенціалу
емітентів, довіра до кредитних грошей підтримується ще низкою додаткових
чинників:
*
проведенням державою такої економічної та монетарної політики, яка б виключала
появу у суб'єктів ринку інфляційних очікувань і зниження довіри до таких грошей
у майбутньому;
*
наданням державою готівковим неповноцінним грошам статусу законних платіжних засобів,
унаслідок чого кредитор не може відмовитися приймати платежі в цих грошах;
*
створенням системи страхування банківських депозитів та системи нагляду за
банківською діяльністю з метою підвищення довіри до банків та до депозитів як
банківських грошей;
*
створенням системи гарантій по векселях і чеках.
Забезпечення
довіри до неповноцінних грошей обумовлює специфічну форму їх вартості -
купівельну спроможність. Якщо всі суб'єкти ринків, зокрема продавці товарів,
довіряють таким грошам, то власники їх зможуть за певну грошову суму придбати
певну масу товарів, послуг, цінних паперів, валюти тощо.
Маса
товарів, які можна купити за одиницю грошей, визначається рівнем їх цін: чим
ціни вищі, тим менше товарів можна купити на грошову одиницю, і навпаки. Отже, між
вартістю (купівельною спроможністю) кредитних грошей та рівнем цін на товари
існує обернена залежність. Тому зміну вартості грошей за певний період можна
визначити за формулою:

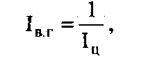
мал. 2
де Івг
- зміна вартості грошей;
Іс -
індекс середнього рівня цін за певний період.
Зміна
вартості грошей (Івг) - надзвичайно важливий економічний показник, що відчутно
впливає на всі сфери життя суспільства. Рівень вартості грошей, як і ті
економічні процеси, що його визначають, не може залишатися незмінним. Зниження
вартості грошей називається інфляцією, а збільшення - дефляцією. Детальніше ці
явища будуть розглянуті в розділі 5.
Різноманітність
і складність виробничих відносин, які втілюються в грошах, визначають
множинність форм прояву самих грошей. Кожна з таких форм дістала назву функції
грошей. Функція грошей - це певна дія чи "робота" грошей щодо
обслуговування руху вартості в процесі суспільного відтворення.
Питання
про функції грошей є одним з найбільш дискусійних у теорії грошей. Розбіжності
стосуються не тільки трактування окремих функцій, а й їх кількості. Дискусії
ведуться як між представниками різних теоретичних шкіл, так і всередині кожної
з них. Так, більшість представників марксистської теорії грошей визнає п'ять їх
функцій, проте вони мають різні погляди щодо суті кожної з них.
Ще
помітніші розбіжності у трактуванні функцій грошей серед представників
немарксистських теорій. Не заперечуючи взагалі існування функцій грошей,
більшість із них визнають лише три функції й абстрагуються від решти. Так, у
відомій книзі англійського економіста Л. Харріса "Грошова теорія"
говориться про функції засобу обігу, засобу збереження вартості та одиницю
рахунку і зовсім не згадуються інші функції. Разом з тим класики економічної
теорії та деякі її представники кінця XIX - початку XX ст. теж визнавали п'ять
функцій грошей. Ми також розглянемо п'ять функцій: міри вартості, засобу обігу,
засобу платежу, засобу нагромадження вартості і світових грошей.
Міра
вартості - це функція, в якій гроші забезпечують вираження і вимірювання
вартості товарів, надаючи їй форму ціни. Двояке призначення цієї функції -
виражати і вимірювати вартість - пояснюється тим, що вартість товару не може
бути виражена інакше, ніж порівнюванням її з товаром - загальним еквівалентом,
вартість якого загальновизнана. І тільки через кількісне визначення в одиницях
товару-еквівалента здійснюється вимірювання вартості товарів.
Подвійне
призначення міри вартості найчіткіше виявлялося в умовах використання
благородних металів як грошового товару. Усі конкретні товари
"шукали" тоді собі золотий чи срібний еквівалент і одержували ціну як
певну вагову кількість цього металу. Такі "золоті" чи "срібні"
ціни спочатку визначалися за ваговим масштабом і мало чим відрізнялися на всіх
ринках.
З
початком централізованого карбування монет державами виник грошовий масштаб,
або масштаб цін, який спочатку збігався з ваговим. Так, в Англії фунт
стерлінгів як грошова одиниця дорівнював фунту срібла, а монета карбувалася
вагою 1/240 фунта срібла. Так само сформувалася й італійська грошова одиниця
ліра (по-італ. фунт). З часом масштаб цін з певних причин істотно відхилився
від вагового, причому в кожній країні різною мірою. Тому ціни, які виражалися в
національних грошах, почали значно різнитися на різних ринках, що зумовило
необхідність застосування спеціальних коефіцієнтів зіставлення валют (валютних
курсів).
Отже, в
умовах обігу справжніх грошей ціна формувалася внаслідок подвійного їх
функціонування - як втілення загальної праці для вираження вартості конкретних
товарів і як масштаб цін для визначення самої вагової кількості грошового
металу. Масштаб цін як вагова кількість благородного металу, прийнятого за грошову
одиницю, є складовою функції міри вартості, доповнює її призначення виражати
вартість товарів. Його не можна ні протиставляти мірі вартості, вважаючи їх
двома різними функціями, ні ототожнювати з ним міру вартості, зводячи тільки до
рахункових грошей.
В
умовах обігу неповноцінних грошей механізм міри вартості істотно змінився. Між
вартістю товару, яку потрібно виміряти, і грошовою ціною як результатом такого
вимірювання немає золота, немає "золотої" ціни. Відпала потреба у
ваговій кількості золота, що прийнята за грошову одиницю і слугує масштабом
цін. Усі держави світу перестали фіксувати золотий вміст грошових одиниць.
Створюється враження, що грошова одиниця безпосередньо вимірює вартість товару
і що функція міри вартості зводиться до технічного обчислення, до забезпечення
практики ціноутворення рахунковою одиницею.
Представники
сучасних економічних теорій, що не визнають трудової природи вартості, по суті,
зводять функцію міри вартості до таких рахункових одиниць. Представники ж
трудової теорії вартості намагаються пояснити механізм цієї функції з позиції
трудового походження вартості. Одні з них вважають, що нерозмінні знаки лише
представляють в обігу золото, яке й виконує функцію міри вартості так, як це
було в умовах золотого обігу. На думку других, у сучасних умовах змінився сам
механізм формування трудової вартості товарів настільки, що вона може
вимірюватися грошима без внутрішньої вартості. Треті вбачають вихід у тому, що,
оскільки сучасні гроші теж є носіями мінової вартості, через прирівнювання
(обмін) їх до звичайних товарів можна забезпечити вимірювання вартості
останніх.
Жоден
із цих підходів поки що не набув загального визнання. Проте останній із них
здається нам найплодотворнішим.
Справді,
якщо визнавати, що всі сучасні форми грошей є носіями мінової вартості, то
можна визначити і реальну схему виконання такими грошима функції міри вартості.
Усі звичайні товари, надходячи до сфери обміну, шукають собі грошовий
еквівалент, який представлений там готовністю суб'єктів ринку купити відповідні
товари. У зіткненні сторін - бажання продати і готовність купити - визначається
в кінцевому підсумку мінова вартість товару чи та сума грошей, якою товар
оцінюється на ринку та яка задовольняє обох суб'єктів операції. До цього й
зводиться економічний зміст вираження вартості за допомогою грошей у сучасних
умовах.
Змінюється
й механізм дії масштабу цін. Як інструмент виміру грошової ціни він діє не
окремо від визначення вартості, а одночасно з ним як один процес, оскільки
еквівалентна товару вартість уже виражена в грошових одиницях, а не у ваговій
кількості золота. Тому роль масштабу цін ніби поглинута мірою вартості. Рівень
цін на товари, що склався, зумовлює і масштаб цін для нових товарів, а не
навпаки, як це було в умовах золотого стандарту.
Функцію
міри вартості гроші виконують ідеально. Виробник заздалегідь, до появи з
товаром на ринку, визначає ціну, за якою вигідно продати його. Але й при
зустрічі з покупцем на ринку, де остаточно вирішується ціна товарів, наявність
грошей у будь-якій формі (золоті монети, банкноти, чеки, кредитні картки та
ін.) не обов'язкова. Продаж взагалі може відбуватися в борг, під майбутні
гроші, але ціна визначається в момент операції купівлі- продажу. Тим більше не
потрібна наявність реальних грошей у разі встановлення товарних цін державними
органами. Проте ці органи повинні мати чітке уявлення про мінову вартість
грошей, яка фактично склалася і діє на ринку, щоб установити ціну, адекватну
вартості товару.
Гроші
як міра вартості широко використовуються як рахункові, як одиниця рахування. За
їх допомогою можна надати кількісного виразу всім економічним процесам і явищам
на мікро- і ма-крорівнях, на всіх стадіях процесу суспільного відтворення, без
чого неможлива їх організація й управління. Тому суспільна роль грошей як міри
вартості виходить далеко за межі надання всім товарам однакової форми ціни.
Так, за допомогою рахункових грошей підприємство може заздалегідь визначити
свої витрати на виробництво і доходи від реалізації продукції, рівень
прибутковості виробництва, без чого неможливо виробити правильну підприємницьку
тактику і стратегію.
На
макроекономічному рівні за допомогою рахункових грошей визначаються такі
важливі показники розвитку економіки, як обсяг валового національного продукту,
національного доходу, інвестицій, фінансових і кредитних ресурсів тощо, без
яких неможливе свідоме регулювання економічного життя суспільства.
Засіб
обігу - це функція, в якій гроші є посередником в обміні товарів і забезпечують
їх обіг.
Обмін
товарів за допомогою грошей у цій функції здійснюється за схемою Т-Г-Т на
відміну від бартерного обміну товарів за схемою Т-Т. Участь в обміні грошей
надає товарному метаморфозу принципово нову якість: він розпадається на два
самостійні акти - продаж (Т-Г) і купівля (Г-Т), які можуть відокремлюватися в
просторі і в часі. За бартерного обміну відразу здійснюється повний товарний
метаморфоз, коли своїх цілей досягають обидва учасники операції - кожний з них
отримує потрібну споживну вартість. У метаморфозі Т-Г-Т продаж (Т-Г) не означає
досягнення цілей обміну жодним із власників товарів, що обмінюються. Більше
того, продавець одного товару може взагалі не купувати іншого товару і тоді
повний товарний метаморфоз не відбудеться, у чому криється абстрактна можливість
кризи збуту.
Разом з
тим розрив товарного метаморфозу завдяки грошам на два самостійні акти має
велике позитивне значення для розвитку обміну й економіки взагалі.
По-перше,
відкривається можливість затримувати гроші і нагромаджувати вартість в її абсолютній
формі, що розширює цілі виробництва, виводить їх за межі простого товарообміну
і дає нові імпульси розвитку виробництва.
По-друге,
розриваються вузькі межі бартерного обміну. Власник товару може продати його не
тому, хто в цей час має необхідний йому (продавцеві) товар, а тому, хто в ньому
має потребу. За одержані гроші він має можливість вільно вибрати на
альтернативній основі необхідний товар, що сприяє розвитку конкуренції серед
товаровиробників.
По-третє,
власник грошей може перенести купівлю іншого товару на майбутнє чи на інший
ринок або взагалі використати їх за іншим призначенням. Все це стимулює
розвиток підприємницької активності товаровиробників, поглиблення і розширення
ринкових відносин, урізноманітнює форми товарно-грошових відносин взагалі.
Важливою
ознакою грошей як засобу обігу є те, що вони являють собою реальне втілення
мінової вартості: продавець віддає свій товар покупцеві і взамін одержує гроші.
При цьому зовсім не має значення, в якій формі вони виступають - повноцінних
грошей (золотої чи срібної монети), розмінних чи нерозмінних знаків грошей
(готівка), чи просто у вигляді записів на банківських рахунках (депозитні
гроші). Важливо лише те, що гроші як засіб обігу забезпечують перебіг товарів
від виробника до споживача, після чого товари виходять зі сфери обігу. Проте
самі гроші залишаються в обігу, переходячи від одного суб'єкта до іншого.
Ця
особливість засобу обігу визначає характер зв'язку обігу грошей і товарів. Так,
в обігу завжди перебуває певна маса грошей, які протистоять товарній масі, що
підлягає реалізації. Якщо їх співвідношення розглядати на якийсь момент, то
маса грошей повинна приблизно дорівнювати сумі товарних цін. Якщо ж його
розглядати за певний проміжок часу, то середня маса грошей, що перебуває в
обігу, має бути меншою за суму цін товарів, що реалізуються, на величину, яка
визначається швидкістю обігу грошей. Кожна грошова одиниця за цей час може
забезпечити реалізацію кількох товарів. Указана залежність між масою грошей в
обігу і сумою товарних цін є економічним законом грошового обігу.
Функцію
засобу обігу гроші виконують миттєво, що робить її індиферентною до форми
грошей, проте не до сталості їх вартості. Адже миттєвість властива грошам як
засобу обігу тільки в одному товарному метаморфозі. Після його здійснення гроші
не припиняють обіг і переходять у другий метаморфоз, потім у третій і т. д.
Тому чим сталіша вартість грошової одиниці, тим міцніша внутрішня єдність
товарних метаморфоз і зв'язку товаровиробників, тим сприятливіші умови для
розвитку суспільного виробництва. Знецінення грошової одиниці викликає у
власників грошей - потенційних покупців - недовіру до її купівельної
спроможності та бажання швидше їх перетворити в товари, що стимулює ажіотажний
попит. Водночас товаровиробники вважають доцільнішим перехід до бартерних
операцій, ніж продавати свою продукцію за гроші, які можуть знецінитися.
Порушується вся система товарно-грошових відносин;
До
грошей у функції засобу обігу з боку ринку висувається ще ряд вимог, які
пов'язані переважно з організаційними і технічними аспектами їх функціонування.
Вони повинні бути портативними, економічно подільними й однорідними у всій
своїй масі, відносно міцними, дешевими у виготовленні і здатними до швидкого
відтворення будь-якої необхідної для обігу їх кількості та ін.
З
розвитком ринкових відносин і сфери використання грошей як засобу обігу
розвивались і розширювалися вимоги до них, причому нові вимоги нерідко
виявлялися несумісними з попередніми і заперечували їх. Так, дешевизна
виготовлення та здатність до швидкого відтворення необхідної для обігу
кількості грошей виявилися несумісними з високою і сталою вартістю грошової
одиниці. Якщо цю останню вимогу найкраще задовольняли золоті гроші, то першу -
грошові знаки, спочатку паперові, а потім - прості записи на рахунках у банках.
Цю суперечність у кінцевому підсумку було розв'язано на користь останньої
вимоги, і функцію засобу обігу стали виконувати грошові знаки різних форм.
Швидкий
розвиток ринкових відносин, у тому числі завдяки грошам як засобу обігу,
створює передумови для звуження сфери використання цієї функції та якісної
зміни механізму її здійснення.
Формування
різнобічних і сталих мінових відносин між товаровиробниками при активному
обслуговуванні їх банками веде до посилення взаємної залежності і довіри між суб'єктами
ринку. Тому продаж товарів дедалі частіше здійснюється в кредит. Для повного
товарного метаморфозу наявність грошей виявилася не обов'язковою:
товаровиробник продає свій товар і купує інший у борг, а товарний метаморфоз
набрав вигляду Т-К -Т. Заміна в ньому Г на К (кредит) мала значні позитивні
наслідки для всієї сфери товарно-грошових відносин.
Зокрема,
звузилася сфера використання грошей як засобу обігу і виникла потреба в грошах
для погашення боргів, проте це була вже інша їх функція - функція засобу
платежу, сфера використання якої невпинно розширюється. Крім того, з кредитного
відношення (К) у товарному метаморфозі з'явилося боргове зобов'язання (вексель)
як втілення мінової вартості реалізованого товару, що надало йому властивостей
здійснювати функції грошей, зокрема купівельну і платіжну. Виникла принципово
нова форма грошей - кредитні.
У
сучасних умовах використання грошей як засобу обігу здійснюється переважно в
роздрібній торгівлі, при наданні послуг населенню, у міжнародній торгівлі та
ін. Проте і в цих сферах поступово звужується використання функції засобу обігу
завдяки проникненню сюди кредитних відносин, особливо в країнах з розвинутою
ринковою економікою. У нашій країні у зв'язку з недорозвинутістю
внутрішньогосподарських кредитних відносин гроші як засіб обігу широко
використовувались у всіх сферах економічних відносин, у тому числі і в оптовій
торгівлі засобами виробництва. Інфляційні процеси, що набрали широкого розмаху
в період переходу до ринкового господарювання, спричинили звуження сфери
функціонування засобу обігу внаслідок переходу до натурального товарообміну
(бартеру). Це є кроком назад у розвитку функцій грошей, що зумовлює зниження їх
ролі в розвитку економіки.
Засіб
платежу - це функція, в якій гроші обслуговують погашення різноманітних
боргових зобов'язань між суб'єктами економічних відносин, що виникають у
процесі розширеного відтворення.
Історично
ця функція походить з товарообороту. Як зазначалося вище, поява її була
зумовлена продажем товарів у кредит, оскільки при цьому виникав борг, погашення
якого здійснювалося грошима. Це вже були істотно інші гроші, відмінні від
засобу обігу. Така відмінність пояснюється фактором часу, який відділяє
реалізацію товару (в борг) від платежу в рахунок погашення заборгованості. За
цей час можуть змінитися вартість і форма грошей, сам боржник та кредитор тощо.
Тому вартість платежу не завжди еквівалентна вартості товарів, реалізованих у
борг, або вартості грошей, які були віддані в борг. Економічні відносини, що
виникають при погашенні боргів, особливо довгострокових, не тільки містять у
собі свою першооснову - купівлю-продаж товару, а й відображають багато інших
явищ, що відбулися в економіці за час користування кредитом: зміну вартості
грошової одиниці, цінові пертурбації, втручання держави в грошову сферу, зміну
позичкового процента тощо.
У міру
поглиблення економічних відносин, перетворення їх у суто грошові, а народного
господарства - в грошове та широкого розвитку кредитних і фінансових зв'язків
гроші як засіб платежу поступово вийшли за межі товарного обігу і стали
обслуговувати погашення різноманітних зобов'язань у суспільстві, якщо вони
виражаються в грошовій формі. Як платіжний засіб гроші стали здійснювати
самостійний рух без прямого зв'язку з обігом товарів, обслуговувати однобічний
рух вартості в процесі розширеного відтворення, зокрема при платежах у
державний бюджет та в інші централізовані фонди цільового призначення і
фінансуванні суспільних потреб з цих фондів, під час видачі і погашення
банківських позичок тощо.
Гроші
як засіб платежу, подібно до засобу обігу, передаються від одного суб'єкта
відносин до іншого, тобто здійснюють обіг. Тому коли мова йде про грошовий
обіг, то найчастіше мається на увазі функціонування їх і як засобу обігу, і як
засобу платежу. Відповідно і загальна маса грошей в обігу включає їх кількість
в обох цих функціях. Вимоги закону грошового обігу поширюються на загальну масу
грошей, тобто на обидві їх функції.
У
розвинутій ринковій економіці гроші як засіб платежу обслуговують більшу
частину всього економічного обороту. Тому сфера їх застосування дуже широка і
охоплює: платежі між підприємствами, господарськими організаціями та установами
за взаємними борговими зобов'язаннями; платежі підприємств, господарських
організацій та установ своїм працівникам, пов'язані з оплатою праці; платежі
юридичних та фізичних осіб у централізовані фінансові фонди, одержання грошових
коштів з цих фондів; внесення юридичними та фізичними особами своїх грошей у
банки, отримання ними грошових позичок у банках і погашення їх у встановлені
строки; різноманітні платежі, пов'язані зі страхуванням діяльності та майна
юридичних і фізичних осіб; інші платежі - адміністративно-судові, виплата
спадщини, дарування тощо.
Розширення
сфери функціонування грошей як засобу платежу відбувається за рахунок сфери їх
функції як засобу обігу. Проте цей процес не має будь-якого негативного впливу
на економіку. Навпаки, функція засобу платежу забезпечує ширші можливості для
підприємства, ніж функція засобу обігу, оскільки знімає з нього обмеження, які
створює суто еквівалентний обмін у разі негайної оплати товарів (Т-Г), розширює
маневреність коштами, дає можливість здійснити платежі шляхом заліку зустрічних
зобов'язань, що сприяє економії грошових коштів та прискоренню обігу капіталу
тощо. Водночас у цій функції потенційно міститься загроза неплатежу, яка при
реалізації в широких масштабах може спричинити грошово-кредитну кризу.
До
грошей у функції засобу платежу ринок висуває ті самі вимоги, що й до засобу обігу,
хіба що іншою мірою. Зокрема, необхідність сталості грошей у цій функції
виявляється ще гостріше, оскільки тут, як уже вказувалося вище, діє фактор
часу. Якщо за час користування кредитом гроші знеціняться, то кредитор не
поверне позиченої ним вартості і зазнає збитків, бо він не зможе купити за
повернуту суму грошей попередню кількість товарів у зв'язку з їх подорожчанням.
Боржник відповідно матиме на цьому виграш. Щоб уникнути цього, доводиться
коригувати процентну ставку відповідно до знецінення грошей, що негативно
впливає на стан кредитних відносин в економіці. Крім того, саме по собі
підвищення позичкового процента є інфляційним чинником і призводить до дальшого
знецінення грошей.
Ці
явища повною мірою виявилися в економіці України в період ринкової
трансформації, коли інфляція набула широкого розмаху. Протягом короткого часу
рівень позичкового процента підвищувався в декілька разів, що стримувало
розвиток кредитних відносин та економічне зростання взагалі.
Засіб
нагромадження - це функція, в якій гроші обслуговують нагромадження вартості в
її загальній абстрактній формі в процесі розширеного відтворення.
Виникнення
функції засобу нагромадження історично стало можливим тоді, коли товаровиробник
виявився спроможним частину грошової виручки від продажу своїх товарів не
витрачати на придбання інших споживних вартостей, необхідних для виробництва чи
особистого споживання, а відкласти на майбутнє, зберегти. Для цього
продуктивність його праці повинна перевищувати його поточні виробничі та
споживчі потреби, тобто бути на досить високому рівні розвитку. Отже, ця
функція могла виникнути після функції засобу обігу і розвинутися на її основі,
але раніше за функцію засобу платежу: товаровиробник міг наважитися продати
свій товар у борг лише за умови, що покупець зможе нагромадити вартість для
повернення боргу.
Спочатку
нагромадження грошей мало лише одну визначену ціль - збереження вартості. Для
цього достатньо було вречевлити вартість у звичайних кусках чи брусках
дорогоцінного металу і добре зберігати їх на випадок різних соціальних
потрясінь.
У такій
формі нагромаджувалося абстрактне загальне багатство, що називалося скарбом .
Нагромадження грошей як скарбу було стихійним наслідком і виразом виникнення
надлишку продуктів у простих товаровиробників.
З
розвитком товарного виробництва і грошових відносин урізноманітнювалися цілі
нагромадження скарбу. Замість прагнення сховати своє багатство виникло бажання
продемонструвати його. Чим більшою була роль грошей у суспільстві, тим
сильнішим ставало це бажання. Під його впливом примітивним формам скарбу стали
надавати форму предметів розкоші. Виникла естетична форма скарбу, який перестав
бути просто мертвим багатством і набув певного споживчого сенсу. Поряд із
збереженням вартості скарб у такій формі почав задовольняти важливі потреби
людини - потреби в самовираженні, в естетичному задоволенні та ін. Нова роль
естетичних скарбів стала своєрідною компенсацією для їх власників втрат,
пов'язаних з тим, що скарб не може стати капіталом, не приносить їм прибутку.
Завдяки цьому скарб в естетичній формі "пережив" багато суспільних
формацій і продовжує функціонувати навіть у сучасних умовах майже суцільної
капіталізації грошових відносин в усіх країнах незалежно від рівня їх
економічного розвитку та системи господарювання.
Згодом
сформувалася ще одна ціль нагромадження скарбу - створення резерву платіжних
засобів, що надало йому відтворювального характеру і зорієнтувало на
забезпечення зростання прибутку. Ця ціль визначалась ускладненням самих умов та
потреб виробництва і реалізації товарів. Без такого резерву товаровиробник не
міг підтримати безперервність та забезпечити розширення свого виробництва.
Виникнення нової цілі нагромадження скарбу докорінно змінило його характер.
Скарб уже не міг довго лишатися без руху і став активно забезпечувати потреби
суспільного відтворення, перетворившись у резерв для приводних і відвідних
каналів регулювання грошового обігу.
Товаровиробники
почали нагромаджувати скарб безпосередньо заради розширення виробництва й
одержання додаткового прибутку в майбутньому. Щоб наблизити таке майбутнє, вони
передавали свої скарби в борг, розміщували в банках, цінних паперах, що
приносило їм прибуток у вигляді процентів, дивідендів. Відтак скарб
перетворився в цілеспрямоване нагромадження грошей для збереження вартості як
моменту в процесі розширеного відтворення. Це означало більш високий рівень
розвитку даної функції. На відміну від функції нагромадження скарбу її стали
називати функцією нагромадження вартості.
З
розвитком функції нагромадження вартості змінювалися вимоги до форми грошей, що
її виконували. Спочатку послабла, а потім зовсім зникла залежність
функціонального призначення нагромаджених грошей від їх субстанціональної
вартості. Оскільки нагромадження втратило свою абстрактність багатства взагалі,
зникла й потреба тримати їх у вигляді запасу золота чи срібла; їх нову роль,
яка передбачає конкретизацію цілей і строків нагромадження вартості, стали
успішно виконувати знаки грошей - паперові, депозитні, електронні.
Нова
форма грошей справила позитивний вплив на розвиток самої функції засобу
нагромадження і грошових відносин взагалі. По-перше, виникла можливість вивести
обсяги нагромадження за межі, що визначалися фізичними обсягами видобутку
благородних металів. По-друге, можливість знецінення грошових знаків
підштовхувала власників нагромадження швидше їх капіталізувати, що сприяло
розвиткові організованих нагромаджень, банківської справи, ринку цінних паперів
тощо. Саме нагромадження грошей перетворилося, по суті, в нагромадження
позичкового капіталу. По-третє, капіталізація грошових нагромаджень, у свою
чергу, сприяла розв'язанню суперечності між збереженням вартості "в
покої" у межах обороту індивідуального капіталу і необхідністю .
прискорення обігу її у масштабах суспільного відтворення.
Разом з
тим необхідно зазначити, що і в таких умовах здійснюється нагромадження скарбів
як вартості, що перебуває в тривалому покої. Крім естетичної форми,
продовжується класичне нагромадження скарбу у вигляді брусків дорогоцінного
металу, золотих монет тощо. Великі запаси золота зберігаються в державних
скарбницях, центральних банках, міжнародних валютно-кредитних центрах, а також
у приватних власників. Наприкінці 80-х років державні запаси золота найбільш
розвинутих країн з ринковою економікою становили майже 30 тис. т, запаси
міжнародних валютно-кредитних установ - понад 6,5 тис., у приватній тезаврації
- понад 30 тис. т.
Нагромадження
золотих запасів викликає жваві дискусії серед економістів щодо його цілей та
зв'язку з грошовим обігом. Якщо виходити з того, що нагромадження золотого
скарбу є однією з функцій грошей, то неминучим буде висновок, що одну з
грошових функцій золото все ще частково виконує. Отже, його демонетизація є ще
неповною.
Для
того щоб нейтралізувати значення цього факту, висуваються різні докази того, що
нагромадження золота не пов'язане із вказаною функцією грошей. Зокрема,
державні золоті запаси називають звичайним стратегічним резервом, ніяк не
пов'язаним з функціонуванням грошей; нагромадження золота трактується як рух за
історичною інерцією, яку об'єктивно слід і можливо зупинити; нагромадження
золота в приватній власності пояснюється недостатнім розвитком сучасних
цивілізованих грошових відносин в окремих країнах. Має місце спроба довести, що
нагромадження скарбу - це взагалі не грошова функція.
Проте
вказані та подібні оцінки факту нагромадження золота в сучасних умовах не дають
переконливого пояснення, чому людство за умов надзвичайної раціоналізації
суспільного життя та капіталізації вартості омертвляє величезну її масу в
золотих запасах і тримає поза виробничим чи особистим споживанням. Це можна, на
наш погляд, пояснити тільки тим, що і тепер у окремих людей та в цілих народів,
представлених їх державами, існує об'єктивна потреба нагромаджувати вартість як
абсолютне багатство, тобто у формі скарбу, на випадок економічних чи політичних
потрясінь, як було і в минулі віки. І таке нагромадження залишається функцією
грошей як особливого товару. А оскільки в цій сфері (нагромадження абсолютного
багатства) є свої особливі вимоги до грошей, які можуть забезпечуватися тільки
золотом, то й виконувати цю функцію продовжує золото.
Таким
чином, у сучасних умовах сфера функціонування грошей як засобу нагромадження
вартості розділилася на дві частини. У тій із них, де нагромадження вартості
зумовлюється потребами розширеного відтворення, оборотом капіталу, має
конкретно-цільове призначення і є відносно короткочасним, цю функцію гроші
виконують у формі знаків вартості. У тій же частині, де нагромаджується
абсолютне багатство, необхідне за межами усталеного процесу суспільного
відтворення, воно має форму скарбу й обслуговується справжніми грошима -
золотом.
Такий
підхід до розуміння сфери функціонування грошей як засобу нагромадження
вартості дає можливість визначити механізм зв'язку золотих запасів з грошовим
обігом. Загальновідомо, що золоті запаси в сучасних умовах виконують функцію
страхування нагромаджень вартості у формі нерозмінних грошей від інфляційного
знецінення останніх. Таке страхування саме по собі свідчить про наявність
зв'язку золотих запасів із грошовим обігом, де якраз і формуються інфляційні
процеси. Конкретніше цей зв'язок виявляється через вплив зміни золотих запасів
на нагромадження грошових знаків.
Якщо
збільшується приватна тезаврація золота внаслідок продажу його інвесторам з
державних фондів, то на суму покупок зменшуються їхні нагромадження в
неповноцінних грошах, а отже, скорочуються резерви надходження останніх в
активний оборот. І навпаки, зниження приватної тезаврації золота внаслідок
скупки його державою приводить до нагромадження грошових знаків у суб'єктів
ринку і прискореного насичення ними каналів обороту, до зростання попиту на
звичайні товари.
Державні
запаси золота офіційно включаються до золотовалютних резервів країни і слугують
резервом світових грошей. При збільшенні цих запасів за рахунок розширення
власного видобутку золота держава додатково випускає в оборот національні гроші
і підвищує їх масу в обігу. Якщо держава збільшує свої запаси золота внаслідок
позитивного платіжного балансу чи прямої закупівлі його на міжнародному ринку,
то на відповідну суму зменшується товарна пропозиція на внутрішньому ринку, що
безпосередньо впливає на обіг національних грошей у країні.
Держава
може по-різному використати свій запас золота:
*
продати на міжнародному ринку для збільшення валютної частини свого резерву
світових грошей, що не матиме прямого впливу на внутрішній грошовий оборот;
*
реалізувати на світовому ринку для закупівлі там товарів та послуг, необхідних
на внутрішньому ринку, а також для погашення зовнішніх боргів. У цих випадках
прямо чи опосередковано зростатиме товарна пропозиція і поліпшуватиметься стан
грошового обороту у країні;
*
одержати під заставу золотого запасу міжнародну позику, за рахунок якої
збільшити імпорт товарів і розширити товарне забезпечення внутрішнього грошового
обороту.
Отже,
золоті скарби хоч і перестали бути єдиною формою грошового нагромадження і
втратили свою роль приводних і відвідних каналів для грошового обороту, все ж
вони зберігають опосередкований зв'язок з останнім, що свідчить про часткове
збереження за золотом однієї з функцій грошей - нагромадження вартості.
Гроші,
що виконують функцію засобу нагромадження вартості, слід відрізняти від
поточних резервів грошей як купівельних і платіжних засобів, які постійно
створюються у суб'єктів економіки внаслідок короткочасних розбіжностей між
поточними грошовими надходженнями і витратами. Такі грошові кошти не
припиняють, а лише уповільнюють свій рух, продовжуючи функціонувати як засіб
обігу чи засіб платежу. Гроші ж, що обслуговують нагромадження вартості, на
певний час виходять з обороту, зупиняють свій рух, і їх маса визначається
іншими, більш широкими потребами, ніж потреби грошового обігу.
Проте
вказані відмінності між грошима в цих трьох функціях мають швидше теоретичний,
ніж практичний характер. На практиці всі складові грошової маси є єдиним цілим
і легко переміщуються із нагромаджень в обіг, і навпаки.
Залежно
від суспільних цілей нагромадження сфера цієї функції грошей підрозділяється на
нагромадження у виробничій сфері та у сфері особистого споживання. В умовах
командно-адміністративної системи господарювання через надмірне одержавлення
власності на засоби виробництва між указаними сферами була чітко виражена
непереборна межа: підприємства і господарські організації здійснювали грошові
нагромадження у виробничих цілях, населення - з метою розвитку особистого
споживання. Населення було позбавлене будь-якої можливості здійснювати грошові
нагромадження виробничого призначення. Якщо ж його грошові кошти через механізм
банківського кредитування спрямовувалися на розвиток виробництва, то це
здійснювалося без відома і дозволу населення, поза тими цілями, заради яких ці
кошти воно нагромаджувало.
Крім
того, сама система розподілу національного доходу й оплати праці була
сформована так, що грошові доходи забезпечували переважно поточні споживчі
потреби населення. Нагромадження вартості за цих умов здійснювалося переважно
за рахунок економії на поточних витратах. Тому грошові нагромадження населення
були справедливо названі заощадженнями і розглядалися як самостійна сфера даної
функції грошей, а сама функція називалася в навчальній літературі функцією
засобу нагромадження і заощадження населення.
В
умовах переходу до ринкової економіки, коли зняті надзвичайно жорсткі обмеження
з доходів населення і воно дістало широкі можливості для інвестицій, стирається
межа між указаними сферами цієї функції грошей і відпадає необхідність у її
подвійній назві.
Світові
гроші - це функція, в якій гроші обслуговують рух вартості в
міжнародному економічному обороті і забезпечують реалізацію взаємовідносин між
країнами.
Виділення
функції світових грошей зумовлене особливостями руху вартості на світовому
ринку, які визначаються поділом цього ринку державними кордонами. Завдяки
такому поділу тут з'являється специфічний суб'єкт економічних відносин -
держава, яка представляє і захищає інтереси країни в цілому. Тому на світовому
ринку виникають економічні суперечності більш високого рівня, ніж на
внутрішньому, які впливають і на відносини безпосередніх покупців та продавців.
Передусім
в іноземних контрагентів виникає недовіра до тих регалій, якими наділила
держава свої національні гроші, зокрема до посвідчення монетної ваги чи
обов'язковості приймання грошових знаків у всіх видах платежів. Особливо гостро
це відчувалося на початку формування світового ринку, через що гроші могли
з'явитися там тільки у формі зливків благородних металів, знявши, за виразом К.
Маркса, свої "національні мундири". Тому в тих умовах функцію
світових грошей виконували тільки повноцінні гроші, їх приймання у платежі
здійснювалося за вагою, а не за кількістю монет.
Гроші
на світовому ринку виконують функції загального платіжного засобу, загального
купівельного засобу і засобу перенесення багатства з однієї країни в іншу.
Отже, світові гроші - це комплексна функція, що повторює, по суті, всі функції,
властиві грошам на внутрішньому ринку.
Ця
обставина дала підстави багатьом дослідникам взагалі не виділяти світові гроші
як окрему функцію. З такою позицією можна було б погодитися, якби всі національні
гроші були вільно конвертованими. Проте це не так - функціонування грошей
більшості держав обмежене виключно їх національними кордонами. І коли
економічні суб'єкти таких країн виходять на світовий ринок, то їм потрібні
зовсім інші гроші. Тобто мова тут іде не тільки про новий напрям використання
грошей, а й про інші за сутністю гроші, що й дає підстави вичленити світові
гроші в окрему функцію.
Якщо
світові гроші використовуються для погашення боргів, пов'язаних із зовнішньою
торгівлею, банківськими та фінансовими позичками тощо, то вони виконують
функцію засобу платежу. Коли вони витрачаються для негайної купівлі товарів чи
послуг і замість їх певної суми, що вивозиться (пересилається), в країну
ввозиться еквівалентна товарна вартість, вони виконують функцію купівельного
засобу. Використання цієї функції менш вигідне, ніж першої, оскільки вимагає
попереднього нагромадження резерву світових грошей. Тому вона спостерігається
рідше - у випадках якихось надзвичайних подій, коли порушується звичайна
рівновага обміну між країнами (неврожай, стихійне лихо, соціальні потрясіння)
чи виникає недовіра до платоспроможності іноземного контрагента.
Якщо
світові гроші переміщуються з однієї країни в іншу без зустрічного переміщення
товарного еквівалента чи погашення боргу, то вони забезпечують перенесення
багатства. Це має місце при оплаті контрибуції, репарацій, наданні грошових
позичок чи Допомоги, вивезенні грошей емігрантами, тіньовими підприємцями тощо.
Світові
гроші функціонують і як міра вартості та рахункові одиниці, оскільки
національні ціни жодної країни не можуть повністю задовольнити потреби
світового ринку і на ньому формується своя система цін.
Найскладнішим
питанням у розумінні функції світових грошей є питання про форму, в якій гроші
її виконують. Одні економісти вважають, що і зараз цю функцію може виконувати і
виконує тільки золото. Інші заперечують це, посилаючись на те, що золото
перестало безпосередньо використовуватись у будь-яких платежах на світовому
ринку. Купівлю-продаж золота там за національні валюти вони розглядають як
торгівлю звичайним, а не грошовим товаром.
Справді,
механізм функції світових грошей безперервно розвивався в міру розвитку
економічних відносин на світовому ринку. Коли ці відносини досягай високого
рівня взаємності, виникла можливість погашати вимоги по платежах шляхом заліку
чи передачі боргових зобов'язань без пересилання золота по кожному платежу.
Таку роботу здійснюють комерційні банки, включившись в організацію міжнародних
розрахунків. Золото вони стали пересилати один одному тільки для оплати сальдо
заборгованості по платежах. Тут було ще очевидним часткове використання золота
як засобу платежу на світовому ринку.
Після
відміни золотого стандарту і заборони багатьма державами приватних операцій із
золотом банки втратили можливість використовувати золото для врегулювання
платіжних відносин з іншими країнами. Таке право залишилося тільки у
центральних банків та казначейств. Вони можуть продати частину золота на ринках
за одну з національних валют, що користуються довірою на світовому ринку, і
розрахуватися нею по боргах. Цей механізм принципово не змінився і після
скасування в 70-ті роки заборони на приватні операції із золотом у провідних
країнах світу. Комерційні банки хоч і дістали право на операції із золотом,
проте не використовують його для взаємних платежів, навіть для погашення сальдо
взаємної заборгованості. Вони прагнуть продати золото на ринку за валюту і
розрахуватися нею по платежах.
Отже, в
сучасних умовах на міжнародних ринках світові гроші, передусім як платіжний і
купівельний засоби, успішно виступають у "національних мундирах", та
ще й без внутрішньої субстанціональної вартості. Які причини цього? Чому
суб'єкти міжнародних платіжних відносин стали довіряти національним грошам як
світовим? Ці перетворення зумовлені самим розвитком світової економіки й
адекватними йому змінами міжнародних платіжних відносин.
По-перше,
сформувався широкий світовий ринок із системою взаємозв'язків і
взаємозалежностей між його суб'єктами, з широким розвитком між ними кредитних
відносин і банківського обслуговування. У таких умовах світові гроші в
більшості випадків функціонують миттєво і відпала потреба використовувати для
цього повноцінні гроші. Знаки вартості стали задовольняти вимоги нового ринку
до світових грошей.
По-друге,
економічний потенціал окремих країн досяг величезних розмірів, що дало їх
державам можливість забезпечити довіру до своїх національних грошей як реальних
носіїв мінової вартості не тільки на внутрішньому, а й на міжнародних ринках.
По-третє,
докорінно змінилися самі відносини між державами, економічне протистояння
доповнилося співробітництвом з метою спільного регулювання світового
економічного простору і грошових відносин як найскладнішої його частини.
Спільними зусиллями країни стали будувати механізми забезпечення-високої довіри
до однієї з найбільш сталих національних валют (наприклад, долара США), а також
створювати нові міжнаціональні валюти з такими ж якостями (СДР, ЕКЮ, євро). І
доки у суб'єктів світового ринку буде впевненість у тому, що вони зможуть купити
за такі гроші необхідні їм товари, доти вони братимуть їх у платежі, не
вимагаючи золота. Це підтверджується в широких масштабах сучасною практикою
міжнародних розрахунків, які успішно здійснюються в національних вільно
конвертованих валютах окремих країн чи міжнародних валютах.
Незважаючи
на різноманітність форм та функцій грошей, вони є явищем, яке реально
виявляється як єдиний, конкретний інструмент реалізації економічних відносин.
До грошей як реального економічного інструменту економіка, насамперед ринок,
висуває ряд вимог. Вони визначаються рівнем розвитку суспільних відносин - чим
він вищий, тим складніші вимоги пред'являються до грошей.
Щоб
відповідати цим вимогам, гроші повинні мати цілий спектр специфічних властивостей,
які в сукупності визначають певну форму грошей, спричинюють їх еволюцію,
надають грошам якісну відмінність від звичайних благ. Найбільш актуальними в
сучасних умовах є такі властивості грошей: стабільність вартості,
економічність, тривалість використання, однорідність, подільність,
портативність.
Базовою
властивістю грошей, наявність якої робить певний предмет здатним виконувати
функції грошей, є стабільність вартості. Будь-яка форма грошей, якщо вона
знецінюється, не може ефективно виконувати функцію засобу платежу і
нагромадження вартості. Такі гроші перетворюються в гальмо економічного
розвитку, оскільки кредитори перестають надавати позички через ризик втрати
позиченої вартості, а інвестори з тієї самої причини перестають накопичувати
вартість у грошовій формі. У міру розвитку потреби в нагромадженні вартості і
платіжних відносин суспільство змушене було відмовитись від усіх грошових форм
з нестабільною вартістю і визнати грошима лише золото, яке на той час мало
найстабільнішу вартість. Спираючись на стабільні золоті гроші, країни, що їх
запровадили, досягли у XIX ст. величезних економічних успіхів.
Проте в
міру розвитку економіки, формування світового ринку стабільність вартості
золота виявилась недостатньою для забезпечення вказаної властивості грошей.
Коливання попиту і пропозиції на золото спричинювали істотні зміни вартості
повноцінних грошей. Це стало однією з причин переходу до неповноцінних
кредитних грошей, стабільність вартості яких можна підтримувати на потрібному
рівні, зусиллями держави та міждержавних органів. Головним механізмом вирішення
цього завдання стало регулювання попиту і пропозиції грошей на фінансових
ринках, зокрема їх кількості в обороті, зусиллями уповноважених державою
органів, насамперед центрального банку. Підтримання постійно стабільної
вартості грошей стало в нових умовах одним із центральних економічних завдань
сучасних держав.
Важливою
властивістю грошей є їх економічність, яка дає змогу суспільству мінімізувати
витрати на виготовлення грошей і забезпечити ними потреби обороту. Поки гроші
були повноцінними, вирішити це завдання було неможливо, оскільки зниження
витрат на забезпечення обороту грошима мало об'єктивну межу, що визначалася
внутрішньою вартістю металу, з якого вони виготовлялися. Це послужило ключовою
причиною демонетизації золота і появи неповноцінних грошей. Але й після цього
вимога економічності грошей не була знята. Виготовлення банкнот та
неповноцінних монет вимагає досить значних витрат держави, у зв'язку з чим
готівка в обороті поступово замінюється безготівковими (депозитними) грошима.
Але забезпечення обороту такими грошима вимагає теж певних витрат (на ведення
рахунків, здійснення платежів, організацію міжбанківських розрахунків тощо).
Для скорочення цих витрат рух депозитних грошей стали здійснювати засобами
електронних технологій.
Незважаючи
на інтенсивне розширення сфери використання депозитних, у тому числі
електронних, грошей, жодна з країн не може зовсім відмовитися від готівки. А в
Україні частка готівки в загальній масі грошей протягом 1991-1998рр. навіть
зросла приблизно в 5 разів. Тому вимога економічності грошей зберігає свою
актуальність, а для України вона надзвичайно зросла.
Важливим
способом забезпечення економічності готівки є довгостроковість її використання,
яку можна вважати ще однією властивістю грошей. Цю властивість мали повноцінні
гроші, а зараз мають готівкові гроші. Говорити про цю властивість депозитних
грошей немає підстав, оскільки вони не зношуються в обороті.
Щоб забезпечити
довгострокове використання грошей, їх виготовляють з надміцного, зносостійкого
паперу, а деякі купюри виготовляють не тільки з паперу, а й у вигляді монет.
Так, в Україні в 1999 р. була випущена монета в одну гривню, що значно
скоротить витрати на друкування одногривневих купюр, які швидко зношуються і
часто замінюються в обороті новими. Монета ж в одну гривню може обслуговувати
оборот в десятки разів довше, ніж паперова купюра.
Однорідність
грошей є властивістю, яка вимагається від усіх форм грошей. Але не всі ці форми
її забезпечують. Особливо гостро питання однорідності вирішувалося, коли носієм
грошей виступали звичайні товари (худоба, хутра, дорогоцінності тощо), оскільки
кожний екземпляр таких грошей істотно відрізнявся від інших. Цей недолік
натуральних грошей був послаблений переходом до золотих грошей. Золоті монети
стали однорідними, взаємозамінюваними. Кількісно однакова сума їх в усіх
випадках представляла однакову цінність. Проте однорідність і золотих грошей
могла порушуватися, якщо поряд із золотою монетою в обороті була срібна, або
золоті монети мали неоднакові частки домішок неблагородних металів чи мали
різний ступінь зношеності.
В усіх
цих випадках учасники обороту старалися притримати більш якісні гроші і
розплачувалися менш якісними, унаслідок чого гірші гроші витісняли з обороту
кращі. Ця тенденція відома в літературі як "Закон Грешема" (за
прізвищем англійського міністра фінансів Томаса Грешема, який жив у XVIII ст.).
З
переходом до неповноцінних грошей проблема однорідності їх не була знята
повністю, хоч на поверхні нібито всі такі гроші видаються однаковими. Насправді
окремі види грошей виявляються неоднорідними через різний ступінь довіри до їх
емітентів, а отже - різний ступінь їх надійності. Якщо довіра до центрального банку
вища, ніж до комерційних, то економічні агенти віддаватимуть перевагу готівці
перед депозитними грошима як більш надійними.
Надійність
депозитних грошей теж не однакова, оскільки кожний банк має свій рівень
ліквідності і фінансової стабільності. Особливо гостро ця неоднорідність
проявляється в умовах хронічної економічної та фінансової кризи, яку переживала
Україна в 1992-2000 pp. У цих умовах істотно знизилась надійність комерційних
банків, а отже, і довіра до їх депозитних грошей. Помітно кращою була надійність
Національного банку, а довіра до його банкнот була значно вищою, що й
спричинило деформацію структури грошової маси в бік непомірного зростання
частки готівки.
Проте й
до банкноти НБУ в умовах фінансової кризи потроху втрачається довіра, що проявляється
у скороченні використання їх як засобу нагромадження вартості, заміні її вільно
конвертованою валютою, насамперед доларом США. Отже, при неповноцінних грошах
виникає тенденція, протилежна "закону Грешема", що зумовлює
витіснення гірших грошей кращими - безготівкових грошей готівкою, національних
грошей, що знецінюються, іноземною вільно конвертованою валютою.
Гроші
повинні мати і таку властивість, як подільність. Для здійснення платежів
швидко, без додаткових витрат, гроші повинні легко ділитися на будь-які
частини. При такому діленні можна легко заплатити будь-яку суму, одержати здачу
тощо. Щоб забезпечити таку властивість, гроші виготовляються різних номіналів -
від малих до великих, а грошова одиниця ще ділиться на кілька однакових частин,
як правило на 100. На цій підставі випускаються розмінні монети різних
номіналів, що дає можливість при розрахунках розділити грошову одиницю на
будь-які частини.
Останньою
властивістю грошей є їх портативність. Вони мають бути такими, щоб їх легко
було носити, зручно ними користуватися в повсякденному житті. З кожною новою
формою, яку набували гроші в процесі історичного розвитку, їх портативність
зростала. Високу портативність мають сучасні готівкові гроші - банкноти та
розмінна монета. Проте на цьому не закінчився процес удосконалення
портативності грошей. Чекова книжка, що забезпечує рух депозитних грошей,
значно портативніша, ніж готівка. А пластикові картки, які використовуються для
переведення грошей по каналах електронного зв'язку, ще портативні-ші, ніж чекові
книжки.
У
літературі трапляються посилання і на таку властивість грошей, як прийнятність.
На наш погляд, це швидше за все головна ознака грошей, а не окрема якісна
властивість. Якщо будь-яка форма грошей переставала прийматися у платежі, це
означало, що вона переставала бути грошима взагалі, а не лише змінювала одну зі
своїх властивостей. І навпаки, будь-який предмет, що висувався на роль грошей,
успішно справлявся з нею лише за умови широкомасштабного приймання у платежі. А
це ставало можливим, якщо даний предмет мав указані вище властивості сповна.
Отже, прийнятність - це швидше за все результат формування у грошового носія
певних властивостей, який свідчить про перетворення його в гроші, а не ще одна
властивість.
Роль грошей тісно пов'язана з їх функціями. Якщо функція грошей - це їх
конкретна "робота" щодо обслуговування руху вартості на певному етапі
процесу відтворення, то роль грошей - кінцевий результат цієї
"роботи", її наслідок для суспільства.
Роль грошей визначається рівнем розвитку товарного виробництва та
адекватних йому суспільних відносин. Вона не може бути реалізована там, де для
цього немає відповідних умов. Не могла бути значною роль грошей у
докапіталістичних формаціях, оскільки саме господарство тоді мало переважно
натуральний характер. За допомогою грошей там набувала суспільного визнання
лише незначна частка вироблюваної продукції. Тому не було залежності
товаровиробника від ринку, а вплив грошей на його економічне становище і через
нього - на розвиток виробництва був мало відчутним.
Подібне становище мало місце і в умовах командно-адміністративної економіки
в колишньому СРСР та інших країнах Східної Європи. Хоч головна сфера
економічних відносин тут мала грошову форму, сама суть цих відносин була
нееквівалентною, нетоварною, що робило використання грошей формальним, а роль
їх - обмеженою, швидше за все обліково-розподільною. Проте і така роль мала
певний позитивний вплив на розвиток суспільного виробництва.
Найсприятливіші умови для реалізації ролі грошей у розширеному відтворенні
були створені за капіталізму, коли товар став загальною формою продуктів
виробництва, а економічні відносини в суспільстві були переведені на
еквівалентні, ринкові засади. Особливе значення мало те, що сама робоча сила стала
товаром, об'єктом купівлі-продажу за гроші.
Завдяки поширенню грошових відносин на всі фактори суспільного виробництва
- засоби праці, предмети праці і робочу силу - просте товарне виробництво
перетворилось у капіталістичне, а самі гроші набули принципово нової якості -
стали носієм капіталу, відкрили можливість кожному, хто має вільну вартість,
легко і швидко її капіталізувати.
Насамперед грошового виразу у формі прибутку набула мета капіталістичного
виробництва. Це дало можливість зняти усілякі обмеження з його розвитку,
оскільки нагромадження грошей (прибутку) не має будь-яких внутрішніх обмежень,
нагромаджувати їх можна нескінченно.
Завдяки тому, що капіталістичні підприємства все виробляють для продажу і
всі елементи виробництва купують на ринку, створюється особливий ринковий
механізм стимулювання і регулювання суспільного виробництва, в центрі якого
перебувають гроші. На ринку розвивається конкуренція як загальносуспільне явище
- конкуренція за покупця, за робоче місце, за вигідне замовлення тощо. По суті,
в усіх цих випадках ведеться боротьба за отримання більшої суми грошових
доходів. Оскільки перемагає той, хто спроможний одержати найкращі результати в
такому змаганні, конкуренція, а значить і гроші, стають рушійною силою
науково-технічного прогресу, зростання продуктивності суспільної праці,
інтенсифікації виробництва, забезпечення високої якості продукції та ін. Тим
самим створюються могутні стимули для розвитку капіталістичного виробництва.
У проблемі ролі грошей у розвитку економіки можна розрізняти якісний і
кількісний аспекти.
В якісному аспекті роль грошей виявляється у тому, що сама їх наявність,
саме грошове середовище, в якому діють економічні агенти, позитивно впливає на
розвиток суспільного виробництва.
По-перше, знімаються фізичні межі виробництва, що визначаються особистими
потребами самих виробників. Виробляти можна стільки, скільки вдасться
реалізувати, а надлишок вартості можна зберігати в грошовій формі чи
перетворити в позичковий капітал.
По-друге, реалізація вироблених продуктів за гроші, замість бартеру, значно
спрощує, прискорює і здешевлює доведення їх до споживачів. Суспільство одержує
значну економію на реалізаційних витратах, скорочуються потреби в обіговому
капіталі, краще задовольняються потреби споживачів.
По-третє, завдяки грошам ринок набуває загального характеру, його механізм
стає могутнім важелем економічного прогресу, передусім завдяки конкуренції,
стимулюванню ефективного виробництва та економного споживання - виробничого,
державного, особистого.
Здатність грошей приносити своїм власникам в умовах ринкової економіки
додаткову вартість значно посилила їх стимулюючий вплив на кожного суб'єкта
економічних відносин: і на виробника (працівника), і на споживача. Як виробник,
або працівник, кожний з них прагне краще і більше працювати, щоб вивести свої
грошові доходи за межі виробничих чи споживчих потреб і, капіталізувавши
надлишок доходу, мати можливість одержувати додаткову вартість. З цією ж метою
він як споживач прагне еконо-мно використовувати свої грошові кошти, оскільки
капіталізація їх залишків дає можливість одержувати додаткові доходи понад ті,
що приносить жива праця.
Гроші в умовах ринкової економіки стають носієм позичкового капіталу. Через
механізм його руху, зокрема через банки та ринок цінних паперів, формування
якого зумовлюється перетворенням грошей у капітал, відкриваються можливості
узгодити індивідуальні та колективні інтереси виробників, дещо згладити
суперечності між соціальними класами та групами суспільства, забезпечити більшу
рівномірність і збалансованість процесу розширеного відтворення.
Всебічне охоплення грошовою формою економічних відносин всередині країн та
між ними, а також постійне вдосконалення самого грошового механізму створили сприятливі
умови для формування міжнародних ринків і тісних взаємовигідних зв'язків між
країнами, міжнародного переливу вільних капіталів у місця найефективнішого їх
використання тощо.
Глибоке проникнення грошової форми в усі "клітини" суспільних
відносин відкриває широкі можливості для регулювання за допомогою грошових
інструментів процесу розширеного відтворення. Мова йде передусім про такі
інструменти, як податки, позичковий процент, ціни, орендна плата, бюджетне
фінансування та ін. Через них держава має можливість регулювати основні
економічні процеси на мікро- та макрорівнях і в цілому на економічне становище
в країні відповідно до попередньо визначених цілей.
Кількісний аспект ролі грошей полягає в тому, що через зміну кількості
грошей в обороті можна активно впливати на економічні процеси, зокрема на
результати діяльності економічних агентів як виробників і як споживачів. Цю
можливість широко використовують усі держави з ринковою економікою для
регулювання економічного життя в країні. Збільшуючи чи зменшуючи масу грошей в
обороті, центральні банки, які діють від імені своїх держав, забезпечують зміну
таких економічних інструментів, як платоспроможний попит, ціни, процент,
валютний курс, курс цінних паперів тощо. Завдяки цьому забезпечується вплив на
такі вирішальні економічні процеси, як інвестиції, зростання виробництва,
зайнятість, розвиток експорту й імпорту та їх збалансування тощо.
Еволюція ролі грошей в економіці України. У міру поглиблення ринкової
трансформації економіки України помітно зростає роль грошей в її розвитку.
Поступово українська гривня перетворилась у справді загальний еквівалент, у
"головну діючу особу" на ринку. Кожний, хто має гроші, може вільно
купити будь-який потрібний товар на внутрішньому ринку. Це істотно підвищило
заінтересованість економічних суб'єктів у тому, щоб більше заробляти грошей і
економніше їх витрачати. Стало значно легше капіталізувати гроші, вклавши їх у
цінні папери та банківські депозити. Запровадження часткової конвертованості
гривні істотно підвищило роль грошей у розвитку зовнішньоекономічних відносин,
в інтеграції економіки України у світову економіку. Грошово-кредитна політика
зайняла ключове місце в механізмі державного регулювання економіки. Динаміка
цін стала відчутно реагувати на регулюючі заходи Національного банку України в
грошовій сфері.
Проте ці позитивні зрушення в підвищенні ролі грошей поки що не дали
відчутних результатів у розвитку суспільного виробництва, яке близько 10 років
перебуває у стані хронічної кризи. Це зумовлено передусім уповільненістю,
непослідовністю переведення економіки на ринкові засади, адміністративним
втручанням держави в економічне життя, а також слабкістю самого грошового
механізму, зокрема банківської системи, все ще високою інфляцією. Тому
економічні суб'єкти недостатньо результативно
реагують на стимулюючі імпульси, які надходять з боку грошей, не виявляють
належної заінтересованості в інвестуванні виробництва, у капіталізації доходів,
у розвитку товарно-грошових відносин. Вони нерідко віддають перевагу
натуральним формам економічних відносин (бартеру), "тіньовим" методам
господарювання, переведенню вільного фінансового капіталу за кордон,
конвертації його в іноземну валюту тощо. Ці процеси істотно стримують
позитивний вплив ринкових перетворень та грошей на розвиток економіки.
Досвід країн з розвинутою ринковою економікою не тільки свідчить про
величезну роль грошей, а й показує основні напрями успішного використання їх у
трансформаційній економіці нашої країни.
По-перше, це максимальне переведення на ринкові засади всіх сфер
економічних відносин. Грошова форма повинна реально опосередковувати всі
процеси розширеного відтворення, забезпечувати здійснення їх на еквівалентній
основі. На принципах еквівалентності, самофінансування, самодостатності повинна
ґрунтуватися діяльність не тільки виробничих підприємств, а й економічних
суб'єктів сфери науки, освіти, охорони здоров'я тощо.
По-друге, переорієнтація цілей економічної, у тому числі грошової, політики
із забезпечення інтересів центру на інтереси безпосереднього виробника, окремих
колективів, регіонів тощо. Тільки за цієї умови можна буде ефективно
використати грошові інструменти для стимулювання суспільного виробництва, а
отже і для забезпечення економічних інтересів центру.
По-третє, забезпечення вільної, гарантованої капіталізації грошових доходів
усіх суб'єктів економічних відносин усіма методами, сумісними з нашими
соціальними пріоритетами. Це сприятиме зростанню інвестицій, згортанню тіньової
економіки, зміцненню банківської системи.
По-четверте, оздоровлення грошового обігу, забезпечення високої, сталої
вартості грошової одиниці. Без цього неможливо відновити роль грошей у міновому
процесі, витіснити бартерні операції з ринку, а отже, забезпечити їх належну
роль у розвитку економіки в цілому.
У міру подальшої трансформації економіки України в ринковому напрямку,
розвитку банківської системи, формування ринків цінних паперів, кредитного та
валютного ринків, оздоровлення державних фінансів і національних грошей,
послаблення кризових явищ в економіці роль грошей в економічному житті України
неухильно зростатиме.
1. Гроші не були придумані людством і не є продуктом творення держави, а
з'явилися стихійно як результат еволюційного розвитку товарного виробництва й
обміну. Тому гроші не можна вольовим способом відмінити там, де для їх
існування є об'єктивні передумови, як і не можна запровадити там, де таких
передумов немає. Разом з тим держави активно впливають на форму грошей, з тим
щоб надати їм тих ознак, які роблять гроші найбільш адекватними потребам ринку.
2. Обмін за допомогою грошей має істотні переваги перед бартером
(натуральним обміном): здешевлює, прискорює, краще гарантує здійснення обмінних
операцій, розширює можливості вибору, знімає часові і територіальні обмеження,
створює умови для суспільного контролю і впливу на процеси обміну; все це
сприяє прискоренню суспільного відтворення.
3. Гроші за своєю сутністю є особливим товаром, що має властивості
загального еквівалента - здатність обмінюватися на будь-який інший товар,
загальну споживну вартість замість специфічної, властивої звичайним товарам, є
безпосереднім носієм абстрактної цінності і суспільного багатства.
4. Вартість грошей як загального еквівалента формується безпосередньо в
обігу внаслідок обміну певної маси реальних цінностей на певну масу грошей. У
результаті такого обміну кожна грошова одиниця стає для її власника носієм тієї
маси вартості, яку він відчужив в обмін на свої грошові доходи. Зміна такої
вартості грошей спричинюється передусім зміною фізичного обсягу реальних благ,
що надходять у сферу реалізації, і маси грошей, що обслуговує цю сферу. Перший
із цих факторів впливає на вартість грошей прямо пропорційно, а другий -
обернено пропорційно.
5. Гроші пройшли тривалий і складний шлях розвитку від звичайних товарів
широкого вжитку до сучасних електронних грошей. Кожна зміна форми грошей
зумовлювалася більш високим рівнем розвитку суспільних відносин та істотним
ускладненням вимог ринку до грошового еквівалента. Переломним моментом у
розвитку форм грошей стала демонетизація золота, внаслідок якої закінчилася
епоха повноцінних грошей і розпочалася епоха неповноцінних грошей. На сьогодні
неповноцінні гроші повністю взяли на себе й успішно виконують більшість
грошових функцій, насамперед засобу обігу, засобу платежу і міри вартості.
Водночас є підстави стверджувати, що цього не сталося з функцією засобу
нагромадження вартості і її частково продовжує виконувати золото, про що
свідчить накопичення великих запасів золота у державній та приватній власності.
6. Гроші в сучасній ринковій економіці виконують п'ять функцій: міри
вартості, засобу обігу, засобу платежу, засобу нагромадження вартості, світових
грошей. У функції міри вартості гроші забезпечують визначення вартості товарів
через форму ціни. У функції засобу обігу гроші обслуговують реалізацію товарів
з негайним поверненням власникові еквівалентної вартості. У функції засобу
платежу гроші обслуговують погашення боргових зобов'язань, що виникають у
процесі розподілу та реалізації вартості національного продукту. У функції
світових грошей гроші обслуговують рух вартості по каналах світового ринку - її
вимірювання, розподіл, реалізацію і нагромадження.
7. Роль грошей є результатом їх функціонування і виявляється в стимулюючому
чи гальмуючому впливі грошей на певні економічні процеси. Такий вплив
забезпечується самою наявністю грошей, завдяки чому всі економічні суб'єкти
функціонують у грошовому (а не бартерному) середовищі, а також зміною кількості
грошей в обороті. У першому випадку роль грошей полягає в тому, що економічні
суб'єкти поставлені в такі умови, що спонукають їх як виробників виробляти
більше і з меншими витратами, а як споживачів - витрачати гроші економніше і з
найбільшим ефектом. У другому випадку роль грошей виявляється в тому, що
збільшення чи зменшення маси грошей збільшує чи зменшує обсяг платоспроможного
попиту, впливає на кон'юнктуру ринку, на обсяги виробництва і зайнятість.
8. Високий рівень розвитку сучасної ринкової економіки, ускладнений
активним регулятивним втручанням держави в усі її процеси, зумовив широку гаму
складних вимог до грошей, яким не могли відповідати жодні форми повноцінних
грошей. Основними вимогами ринку до сучасних грошей та адекватними їм
властивостями грошей є:
·
стабільність вартості
грошей, що полягає в постійності рівня їх купівельної спроможності щодо товарів
та іноземної валюти;
·
економічність грошового
обороту, що проявляється в мінімізації витрат суспільства на виготовлення
грошей і забезпечення ними потреб обороту;
·
довготривалість
використання грошових знаків, що забезпечується виготовленням грошових знаків з
надміцного, зносостійкого паперу або металу;
·
однорідність грошей, коли
всі екземпляри наявних в обороті грошей є взаємозамінними, мають однакову
здатність до обміну, а співвідношення їх реальних цінностей відповідає
співвідношенню їх номіналів;
·
подільність, що полягає у
вільному розподілі більшої грошової купюри на менші знаки, які необхідні для
того, щоб здійснити будь-який платіж;
·
портативність, що виявляється
у високій зручності користування грошима у повсякденному житті.
Забезпечити всі ці властивості неповноцінним грошам - одне з найскладніших
економічних завдань сучасних держав.
1. Які існують концепції походження грошей та яка з них більш адекватна
ринковій практиці використання грошей в економіці?
2. Який спосіб обміну продуктами вигідніший і- зручніший для учасників
ринку - у формі бартеру чи з допомогою грошей? Чому?
3. Визначте, яке з наведених нижче визначень суті грошей є найбільш повним
і правильним (і чому):
- це законні платіжні засоби, створені державою;
- це все те, що використовується як гроші;
- це все те, що може слугувати загальним еквівалентом;
- це все те, що є носієм самостійної мінової вартості, абсолютної цінності.
4. Чим гроші відрізняються від звичайного товару?
5. Причини, що зумовили демонетизацію золота.
6. Чи існує ймовірність повернення золота на роль грошового товару?
7. Які функції виконують гроші? Які існують відмінності в іноземній та
вітчизняній літературі щодо кількості функцій грошей і з чим вони пов'язані?
8. У яких функціях гроші найбільше потерпають від інфляції?
9. Чим відрізняються неповноцінні гроші від повноцінних?
10. Що таке вартість грошей як грошей, на чому вона базується і в чому вона
проявляється?
11. Що таке вартість грошей як капіталу і в чому вона проявляється?
12. Чому неповноцінні гроші називають ще кредитними?
13. Чи впливає статус "законних платіжних засобів" на вартість
грошей і чи всі існуючі засоби платежу мають такий статус?
14. Що таке "електронні гроші"? Що у них є спільного і відмінного
від паперових грошей і депозитних грошей?
15. Чим поняття ролі грошей відрізняється від поняття функції грошей? Як
вони між собою пов'язані?
16. Як впливає на виробництво сама наявність грошей в економіці?
17. Як впливає на економіку зміна кількості грошей в обороті?